Online Database of Chemicals from Around the World

(4Z)-7-[(1R,2R,3S,5S)-5-([1,1'-联苯]-4-基甲氧基)-3-羟基-2-(1-哌啶基)环戊基]-4-庚烯酸盐酸盐
[CAS# 85505-64-2]

供应商
Alfa Chemistry 美国 询价快递  
+1 (201) 478-8534
inquiry@alfa-chemistry.com
化学品供销商(2012 年起)
chemBlink 标准供应商(2012 年起)
BOC Sciences 美国 询价快递  
+1 (631) 485-4226
info@bocsci.com
Skype 聊天
化学品供销商
chemBlink 集群供应商(2012 年起)
International Laboratory Limited 美国 询价快递  
+1 (650) 278-9963
admin@intlab.org
化学品生产商(2002 年起)
PepTech Corporation 美国 询价快递  
+1 (781) 273-5400
service@peptechcorp.com
化学品生产商
基本信息
产品名称 (4Z)-7-[(1R,2R,3S,5S)-5-([1,1'-联苯]-4-基甲氧基)-3-羟基-2-(1-哌啶基)环戊基]-4-庚烯酸盐酸盐
英文名 (4Z)-7-[(1R,2R,3S,5S)-5-([1,1'-Biphenyl]-4-Ylmethoxy)-3-Hydroxy-2-(1-Piperidinyl)Cyclopentyl]-4-Heptenoic Acid Hydrochloride
别名 (E)-7-[(1R,2R,3S,5S)-3-Hydroxy-5-[(4-Phenylphenyl)Methoxy]-2-(1-Piperidyl)Cyclopentyl]Hept-4-Enoic Acid; (E)-7-[(1R,2R,3S,5S)-3-Hydroxy-5-(4-Phenylbenzyl)Oxy-2-Piperidino-Cyclopentyl]Hept-4-Enoic Acid; (E)-7-[(1R,2R,3S,5S)-3-Hydroxy-5-[(4-Phenylphenyl)Methoxy]-2-Piperidin-1-Yl-Cyclopentyl]Hept-4-Enoic Acid
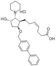
分子结构 CAS 登录号:85505-64-2, (4Z)-7-[(1R,2R,3S,5S)-5-([1,1'-联苯]-4-基甲氧基)-3-羟基-2-(1-哌啶基)环戊基]-4-庚烯酸盐酸盐
分子式 C30H39NO4
分子量 477.64
CAS 登录号 85505-64-2
分子行输入简码 SMILES [C@@H]4(N1CCCCC1)[C@H]([C@@H](OCC3=CC=C(C2=CC=CC=C2)C=C3)C[C@@H]4O)CC\C=C\CCC(=O)O
国际化学标识码 InChI 1S/C30H39NO4/c32-27-21-28(35-22-23-15-17-25(18-16-23)24-11-5-3-6-12-24)26(13-7-1-2-8-14-29(33)34)30(27)31-19-9-4-10-20-31/h1-3,5-6,11-12,15-18,26-28,30,32H,4,7-10,13-14,19-22H2,(H,33,34)/b2-1+/t26-,27-,28-,30+/m0/s1
国际化学标识检索码 InChIKey GQGRDYWMOPRROR-ZIFKCHSBSA-N
物理化学性质
密度 1.181g/cm3 (计算值)
沸点 649.267°C at 760 mmHg (计算值)
闪点 346.464°C (计算值)
市场分析报告
请浏览(4Z)-7-[(1R,2R,3S,5S)-5-([1,1'-联苯]-4-基甲氧基)-3-羟基-2-(1-哌啶基)环戊基]-4-庚烯酸盐酸盐市场分析报告总目录
相关产品
4-溴-3-甲基-异噻唑-5-基胺  4-溴-2-氟苄基氯化物  1,4-亚苯基二(亚甲基)硒氰酸酯  焦谷氨酰-谷氨酰-脯氨酰胺  1-溴-10-苯基癸烷  8-氯-2'-脱氧-腺苷  2-(1,1,2,2-四氟乙氧基甲基)环氧乙烷  (R)-4,4,4-三氟-3-羟基丁酸乙酯  二苯甲酮-2,4'-二甲酸  4-[(2-氨基环己基)甲基]-2-甲基-苯胺  8(R,S)-羟基-11(S),12(S)-环氧二...  3-(2-氨基[1,2,4]三唑并[1,5-a]嘧...  顺式-2-(4-溴苯甲酰基)-1-环己烷-羧酸  丁基 2-乙基己基邻苯二甲酸酯  N-间甲苯基邻氨基甲酰苯甲酸