|
CAS#: 85416-56-4 Product: N-Ac-(4-Cl-Phe)(1,2)-Phe(3)-Arg(6)-Alanh2(10)-Lhrh No suppilers available for the product. |
| Name | N-Ac-(4-Cl-Phe)(1,2)-Phe(3)-Arg(6)-Alanh2(10)-Lhrh |
|---|---|
| Synonyms | Gnrh, N-Ac-(4-Cl-Phe)(1,2)-Phe(3)-Arg(6)-Alanh2(10)-; Lhrh, N-Acetyl-4-Chlorophenylalanyl(1,2)-Phenylalanyl(3)-Arginyl(6)-Alanimide(10)-; Lhrh, N-Ac-(4-Cl-Phe)(1,2)-Phe(3)-Arg(6)-Alanh2(10)- |
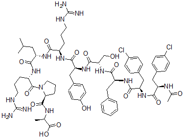
| Molecular Structure | ![]() |
| Molecular Formula | C67H90Cl2N16O14 |
| Molecular Weight | 1414.45 |
| CAS Registry Number | 85416-56-4 |
| SMILES | [C@@H](C(=O)O)(NC([C@H]1N(CCC1)C([C@@H](NC([C@@H](NC([C@H](NC([C@@H](NC([C@@H](NC([C@@H](NC([C@H](NC([C@H](NC(=O)C)CC2=CC=C(C=C2)Cl)=O)CC3=CC=C(C=C3)Cl)=O)CC4=CC=CC=C4)=O)CO)=O)CC5=CC=C(O)C=C5)=O)CCCNC(=N)N)=O)CC(C)C)=O)CCCNC(=N)N)=O)=O)C |
| InChI | 1S/C67H90Cl2N16O14/c1-37(2)31-49(57(90)79-48(14-9-29-75-67(72)73)64(97)85-30-10-15-55(85)63(96)76-38(3)65(98)99)80-56(89)47(13-8-28-74-66(70)71)78-59(92)52(35-43-20-26-46(88)27-21-43)83-62(95)54(36-86)84-61(94)51(32-40-11-6-5-7-12-40)82-60(93)53(34-42-18-24-45(69)25-19-42)81-58(91)50(77-39(4)87)33-41-16-22-44(68)23-17-41/h5-7,11-12,16-27,37-38,47-55,86,88H,8-10,13-15,28-36H2,1-4H3,(H,76,96)(H,77,87)(H,78,92)(H,79,90)(H,80,89)(H,81,91)(H,82,93)(H,83,95)(H,84,94)(H,98,99)(H4,70,71,74)(H4,72,73,75)/t38-,47-,48+,49+,50-,51+,52+,53-,54+,55+/m1/s1 |
| InChIKey | ZIGJFYQNWCQUSD-FNYHMNKTSA-N |
| Density | 1.43g/cm3 (Cal.) |
|---|---|
| Market Analysis Reports |
| List of Reports Available for N-Ac-(4-Cl-Phe)(1,2)-Phe(3)-Arg(6)-Alanh2(10)-Lhrh |