Online Database of Chemicals from Around the World

2-[4-(2-{4-[2-(丙烯酰氧基)乙氧基]苯基}-2-丙基)苯氧基]乙基N,N-二乙基-beta-丙氨酸酯
[CAS# 84864-53-9]

供应商
CAS#: 84864-53-9
产品: 2-[4-(2-{4-[2-(丙烯酰氧基)乙氧基]苯基}-2-丙基)苯氧基]乙基N,N-二乙基-beta-丙氨酸酯
暂时没有厂家供应该产品。
基本信息
产品名称 2-[4-(2-{4-[2-(丙烯酰氧基)乙氧基]苯基}-2-丙基)苯氧基]乙基N,N-二乙基-beta-丙氨酸酯
英文名 2-[4-(2-{4-[2-(Acryloyloxy)ethoxy]phenyl}-2-propanyl)phenoxy]ethyl N,N-diethyl-beta-alaninate
别名 2-[4-[1-methyl-1-[4-[2-[(1-oxoallyl)oxy]ethoxy]phenyl]ethyl]phenoxy]ethyl N,N-diethyl-β-alaninate
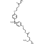
分子结构 CAS 登录号:84864-53-9, 2-[4-(2-{4-[2-(丙烯酰氧基)乙氧基]苯基}-2-丙基)苯氧基]乙基N,N-二乙基-beta-丙氨酸酯
分子式 C29H39NO6
分子量 497.62
CAS 登录号 84864-53-9
EINECS 登录号 284-375-8
分子行输入简码 SMILES C=CC(=O)OCCOc1ccc(cc1)C(C)(C)c2ccc(OCCOC(=O)CCN(CC)CC)cc2
国际化学标识码 InChI 1S/C29H39NO6/c1-6-27(31)35-21-19-33-25-13-9-23(10-14-25)29(4,5)24-11-15-26(16-12-24)34-20-22-36-28(32)17-18-30(7-2)8-3/h6,9-16H,1,7-8,17-22H2,2-5H3
国际化学标识检索码 InChIKey LXJDZBHLBVBEEY-UHFFFAOYSA-N
物理化学性质
密度 1.086g/cm3 (计算值)
沸点 597.381°C at 760 mmHg (计算值)
闪点 315.085°C (计算值)
市场分析报告
请浏览2-[4-(2-{4-[2-(丙烯酰氧基)乙氧基]苯基}-2-丙基)苯氧基]乙基N,N-二乙基-beta-丙氨酸酯市场分析报告总目录
相关产品
(3,7,7-三甲基双环[4.1.0]庚-3-烯-...  钙二(甲基氨基磺酸)  钙2,2'-[1,2-乙烷二基二(氧基)]二乙酸酯  D-葡萄糖二酸,铝盐(1:1)  二铵D-葡萄糖二酸  1,2-二癸基4-辛基1,2,4-苯三羧酸酯  3'-十六烷基1,2-二-9-十八碳烯-1-基2'...  2',3'-二氟-3-联苯甲醛  3-(3-氧代-4-吗啉基)丙腈  反式-4-仲-丁基环己烷羰基氯化物  N-(4-异丙基苄基)环丙胺  乙基2-(四氢-4H-吡喃-4-亚基)肼羧酸酯  1,3-二羟基-2-丙基 (5Z,8Z,11Z)-...  2-氯-1-(氯甲基)-3,4,5-三甲氧基苯  5-丙二烯基嘧啶