Online Database of Chemicals from Around the World

1-[二(2-羟基乙基)氨基]-1-脱氧-D-山梨糖醇
[CAS# 84540-49-8]

供应商
CAS#: 84540-49-8
产品: 1-[二(2-羟基乙基)氨基]-1-脱氧-D-山梨糖醇
暂时没有厂家供应该产品。
基本信息
产品名称 1-[二(2-羟基乙基)氨基]-1-脱氧-D-山梨糖醇
英文名 1-[Bis(2-hydroxyethyl)amino]-1-deoxy-D-glucitol
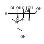
分子结构 CAS 登录号:84540-49-8, 1-[二(2-羟基乙基)氨基]-1-脱氧-D-山梨糖醇
分子式 C10H23NO7
分子量 269.29
CAS 登录号 84540-49-8
EINECS 登录号 283-143-3
分子行输入简码 SMILES O[C@H]([C@@H](O)CN(CCO)CCO)[C@H](O)[C@H](O)CO
国际化学标识码 InChI 1S/C10H23NO7/c12-3-1-11(2-4-13)5-7(15)9(17)10(18)8(16)6-14/h7-10,12-18H,1-6H2/t7-,8+,9+,10+/m0/s1
国际化学标识检索码 InChIKey UURSKAGLHMBPNT-SGIHWFKDSA-N
物理化学性质
密度 1.456g/cm3 (计算值)
沸点 594.13°C at 760 mmHg (计算值)
闪点 378.433°C (计算值)
市场分析报告
请浏览1-[二(2-羟基乙基)氨基]-1-脱氧-D-山梨糖醇市场分析报告总目录
相关产品
2,4-二氯-3-(异亚丙基氨基)苯酚  11H-苯并[b]芴-1-甲腈  3-(2-亚氨基-6-甲基-1(2H)-吡啶基)-...  3-[1-(3-氯-2-羟基丙基)-1H-咪唑-4...  1-氨基-15-氯-3,6,9,12-四氮杂十五烷...  甲基3-(氯乙酰基)环戊烷羧酸酯  3-乙基-5,6,7,8-四氢-2-萘胺  2-异丙基-4-甲基-1,3,2-二氧杂磷杂环戊烷...  1-羟基-4-(2-甲基-2-丙基)环己烷羧酸  4-(1,2-二氢-1,3,5-三嗪-2-基)-4...  1-氟-4-硝基双环[2.2.1]庚烷  5-氧代-1-(2-吡啶基甲基)-3-吡咯烷羧酸  乙基[3-(4-溴苯基)-4,6-二甲氧基-1H-...  氰基甲基2-吡啶羧酸酯  N,N'-(4,8-二羟基-9,10-二氧代-9,...