Online Database of Chemicals from Around the World

N-丁二酰去铁敏 B
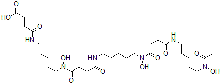
[CAS# 84211-47-2]

供应商
CAS#: 84211-47-2
产品: N-丁二酰去铁敏 B
暂时没有厂家供应该产品。
基本信息
产品名称 N-丁二酰去铁敏 B
英文名 N-Succinyldesferrioxamine B
别名 4-[5-[[4-[5-[[4-[5-(Acetyl-Hydroxy-Amino)Pentylamino]-4-Oxo-Butanoyl]-Hydroxy-Amino]Pentylamino]-4-Oxo-Butanoyl]-Hydroxy-Amino]Pentylamino]-4-Oxo-Butanoic Acid; 4-[5-[[4-[5-[[4-[5-(Acetyl-Hydroxyamino)Pentylamino]-1,4-Dioxobutyl]-Hydroxyamino]Pentylamino]-1,4-Dioxobutyl]-Hydroxyamino]Pentylamino]-4-Oxobutanoic Acid; 4-[5-[[4-[5-[[4-[5-(Acetyl-Hydroxy-Amino)Pentylamino]-4-Keto-Butanoyl]-Hydroxy-Amino]Pentylamino]-4-Keto-Butanoyl]-Hydroxy-Amino]Pentylamino]-4-Keto-Butyric Acid
分子结构 CAS 登录号:84211-47-2, N-丁二酰去铁敏 B
分子式 C29H52N6O11
分子量 660.76
CAS 登录号 84211-47-2
分子行输入简码 SMILES C(C(=O)N(O)CCCCCNC(=O)CCC(=O)O)CC(=O)NCCCCCN(O)C(=O)CCC(=O)NCCCCCN(O)C(=O)C
国际化学标识码 InChI 1S/C29H52N6O11/c1-23(36)33(44)20-8-2-5-17-30-24(37)11-14-27(40)34(45)21-9-3-6-18-31-25(38)12-15-28(41)35(46)22-10-4-7-19-32-26(39)13-16-29(42)43/h44-46H,2-22H2,1H3,(H,30,37)(H,31,38)(H,32,39)(H,42,43)
国际化学标识检索码 InChIKey CPEIGBDIJPZAEK-UHFFFAOYSA-N
物理化学性质
密度 1.258g/cm3 (计算值)
市场分析报告
请浏览N-丁二酰去铁敏 B市场分析报告总目录
相关产品
连翘种苷  2,5,5-三甲基己酸锌  3,6-二[[2-[(二羟基胂基)氧基]苯基]偶氮...  3-[[2-[(二羟基胂基)氧基]苯基]偶氮]-4...  3-[(2-呋喃基)羟基甲基]己烷-2,5-二酮  alpha-乙亚基-beta-羟基呋喃-2-丙醛  7-氟前列环素  N-[[1-(1H-吲哚-3-基甲基)-6,7-二...  3,4-二氢-N-(2-氯苯基)-6,7-二甲氧基...  3,4-二氢-N-(4-氯苯基)-6,7-二甲氧基...  1,2,3,4-四氢-6,7-二甲氧基-1-[(1...  3,4-二氢-6,7-二甲氧基-N-(2-(3,4...  9-[1,3-二(苯基甲氧基)丙-2-基氧基甲基]...  24-甲基胆甾-7,9(11),24(28)-三烯...  甲硫基三氟甲烷磺酸酯