基本信息
| 产品名称 |
十四烷基(2Z,9Z)-6,6-二辛基-4,8,11-三氧代-5,7,12-三氧杂-6-锡杂二十六-2,9-二烯-1-酸酯 |
| 英文名 |
Tetradecyl (2Z,9Z)-6,6-dioctyl-4,8,11-trioxo-5,7,12-trioxa-6-stannahexacosa-2,9-dien-1-oate |
| 别名 |
tetradecyl (Z,Z)-6,6-dioctyl-4,8,11-trioxo-5,7,12-trioxa-6-stannahexacosa-2,9-dienoate |
|
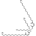
| 分子结构 |
 |
| 分子式 |
C52H96O8Sn |
| 分子量 |
968.02 |
| CAS 登录号 |
84029-77-6 |
| EINECS 登录号 |
281-747-1 |
| 分子行输入简码 SMILES |
O=C(O[Sn](CCCCCCCC)(OC(=O)\C=C/C(=O)OCCCCCCCCCCCCCC)CCCCCCCC)\C=C/C(=O)OCCCCCCCCCCCCCC |
| 国际化学标识码 InChI |
1S/2C18H32O4.2C8H17.Sn/c2*1-2-3-4-5-6-7-8-9-10-11-12-13-16-22-18(21)15-14-17(19)20;2*1-3-5-7-8-6-4-2;/h2*14-15H,2-13,16H2,1H3,(H,19,20);2*1,3-8H2,2H3;/q;;;;+2/p-2/b2*15-14-;;; |
| 国际化学标识检索码 InChIKey |
HXPRCVLFFFMBNP-POUCYOBESA-L |
|