Online Database of Chemicals from Around the World

({二[(3,7-二甲基-6-辛烯-1-基)氧基]甲氧基}甲基)硅烷
[CAS# 83918-63-2]

供应商
CAS#: 83918-63-2
产品: ({二[(3,7-二甲基-6-辛烯-1-基)氧基]甲氧基}甲基)硅烷
暂时没有厂家供应该产品。
基本信息
产品名称 ({二[(3,7-二甲基-6-辛烯-1-基)氧基]甲氧基}甲基)硅烷
英文名 ({Bis[(3,7-dimethyl-6-octen-1-yl)oxy]methoxy}methyl)silane
别名 bis[(3,7-dimethyloct-6-enyl)oxy]methoxymethylsilane
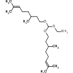
分子结构 CAS 登录号:83918-63-2, ({二[(3,7-二甲基-6-辛烯-1-基)氧基]甲氧基}甲基)硅烷
分子式 C22H44O3Si
分子量 384.67
CAS 登录号 83918-63-2
EINECS 登录号 281-298-1
分子行输入简码 SMILES C/C(C)=C\CCC(C)CCOC(OCCC(C)CC\C=C(/C)C)OC[SiH3]
国际化学标识码 InChI 1S/C22H44O3Si/c1-18(2)9-7-11-20(5)13-15-23-22(25-17-26)24-16-14-21(6)12-8-10-19(3)4/h9-10,20-22H,7-8,11-17H2,1-6,26H3
国际化学标识检索码 InChIKey RUHRRUPGJIGXNV-UHFFFAOYSA-N
物理化学性质
沸点 434.182°C at 760 mmHg (计算值)
闪点 216.386°C (计算值)
市场分析报告
请浏览({二[(3,7-二甲基-6-辛烯-1-基)氧基]甲氧基}甲基)硅烷市场分析报告总目录
相关产品
{[(3,7-二甲基-6-辛烯-1-基)氧基](二...  {三[(3,7-二甲基-6-辛烯-1-基)氧基]甲...  钾(4-羟基苯基)[(4-甲氧基-4-氧代-2-丁...  N-甲基-4-氧代-1(4H)-吡啶甲酰胺  (1-重氮基-2-甲基丙基)苯  3,6-二氢-2H-1,4-噻嗪-3,5-二甲酸  7,8-二羟基-2,2-二甲基-2,3-二氢-4H...  钾辛基膦酸酯  钾4-壬基苯基膦酸酯  2-(4-壬基苯氧基)乙基膦酸酯钾盐  钠2-[2-(4-硝基苯氧基)乙氧基]乙基膦酸酯  1,1'-(4-氯-1-丁烯-1,1-二基)二(4...  乙基4-氧代-1-苯基-1,3,8-三氮杂螺[4....  4-吗啉基(4-苯基-4-哌啶基)甲酮  4-[(4-氨基苯甲酰)氨基]-5-羟基-2,7-...