|
CAS#: 83861-61-4 Product: 20-Carboxy-Leukotriene B4 No suppilers available for the product. |
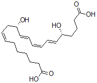
| Name | 20-Carboxy-Leukotriene B4 |
|---|---|
| Synonyms | 20-Cooh Ltb4; 6,8,10,14-Heneicosatetraenedioic Acid, 5,12-Dihydroxy-, (S-(R*,S*-(E,Z,E,Z)))- |
| Molecular Structure | ![]() |
| Molecular Formula | C21H32O6 |
| Molecular Weight | 380.48 |
| CAS Registry Number | 83861-61-4 |
| SMILES | [C@@H](O)(CCCC(=O)O)\C=C\C=C/C=C/[C@@H](O)C\C=C/CCCCCC(=O)O |
| InChI | 1S/C21H32O6/c22-18(12-7-3-1-2-4-10-16-20(24)25)13-8-5-6-9-14-19(23)15-11-17-21(26)27/h3,5-9,13-14,18-19,22-23H,1-2,4,10-12,15-17H2,(H,24,25)(H,26,27)/b6-5-,7-3-,13-8+,14-9+/t18-,19-/m0/s1 |
| InChIKey | OWRZLPFARZIZOG-KRWIEDKISA-N |
| Density | 1.137g/cm3 (Cal.) |
|---|---|
| Boiling point | 635.064°C at 760 mmHg (Cal.) |
| Flash point | 351.879°C (Cal.) |
| Market Analysis Reports |
| List of Reports Available for 20-Carboxy-Leukotriene B4 |