Online Database of Chemicals from Around the World

丁癌菌素 E(2)
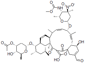
[CAS# 83259-66-9]

供应商
CAS#: 83259-66-9
产品: 丁癌菌素 E(2)
暂时没有厂家供应该产品。
基本信息
产品名称 丁癌菌素 E(2)
英文名 Tetrocarcin E(2)
别名 Tetronolide, 9-O-(3-O-Acetyl-2,6-Dideoxy-Alpha-L-Ribo-Hexopyranosyl)-17-O-(2,3,4,6-Tetradeoxy-4-((Methoxycarbonyl)Amino)-3-C-Methyl-3-Nitro-Beta-D-Xylo-Hexopyranosyl)-
分子结构 CAS 登录号:83259-66-9, 丁癌菌素 E(2)
分子式 C49H66N2O17
分子量 955.06
CAS 登录号 83259-66-9
分子行输入简码 SMILES [C@H]13[C@]5([C@@H](C=C[C@@H]1[C@@H](O[C@@H]2O[C@H]([C@H](O)[C@H](OC(=O)C)C2)C)[C@H](C[C@@H]3C)C)C(C)\C=C\[C@H](O[C@@H]4O[C@@H]([C@H](NC(OC)=O)[C@@]([N+]([O-])=O)(C4)C)C)/C(=C/[C@H]7C6(OC(=C(C5=O)C6=O)O)CC(=C[C@@H]7O)C=O)C)C
国际化学标识码 InChI 1S/C49H66N2O17/c1-22-11-14-34(66-37-20-47(8,51(60)61)42(27(6)64-37)50-46(59)62-10)23(2)16-32-33(54)17-29(21-52)19-49(32)44(57)38(45(58)68-49)43(56)48(9)31(22)13-12-30-39(48)24(3)15-25(4)41(30)67-36-18-35(65-28(7)53)40(55)26(5)63-36/h11-14,16-17,21-22,24-27,30-37,39-42,54-55,58H,15,18-20H2,1-10H3,(H,50,59)/b14-11+,23-16+/t22?,24-,25-,26-,27+,30-,31-,32+,33-,34-,35+,36-,37-,39+,40-,41-,42-,47-,48+,49?/m0/s1
国际化学标识检索码 InChIKey ATDXNACKMJLAKQ-FPFVKSPQSA-N
市场分析报告
请浏览丁癌菌素 E(2)市场分析报告总目录
相关产品
N-[4-[3-(环丙基氨基)-2-羟基丙氧基]苯...  4-甲基菲  3-氨基-4-羟基苯磺酸钠  菲啶-6-胺  (5-氨基-1,2-二氢-3-(2-萘基)吡啶并(...  N-(5-氨基-9-甲基-8-苯基-4,7,10-...  (5-氨基-1,2-二氢-1-甲基-3-苯基吡啶并...  4-[4-[[5-氯-2-(2-氯苯氧基)苯基]偶...  6-溴-2-[4-[乙基(2-羟基乙基)氨基]苯基...  (2,3,4,5,6-五氟苯基)乙酰氯  烯丙基 3,3-二氯-2,2,3-三氟丙酸酯  5-(羟基甲基)-3-(1-甲基乙基)恶唑烷-2-...  3-(1-甲基乙基)-5-[[[(4-甲基苯基)磺...  5-氨基-1-(2,4-二氯苯基)吡唑-4-羧酸乙...  9-重氮基-9H-芴