Online Database of Chemicals from Around the World

7-(2,3-环氧丙氧基)放线菌素 D
[CAS# 82830-18-0]

供应商
CAS#: 82830-18-0
产品: 7-(2,3-环氧丙氧基)放线菌素 D
暂时没有厂家供应该产品。
基本信息
产品名称 7-(2,3-环氧丙氧基)放线菌素 D
英文名 7-(2,3-Epoxypropoxy)Actinomycin D
别名 2-Amino-N,N'-Bis(3,10-Diisopropyl-7,11,14-Trimethyl-2,5,9,12,15-Pentaoxo-8-Oxa-1,4,11,14-Tetrazabicyclo[14.3.0]Nonadecan-6-Yl)-4,6-Dimethyl-7-(Oxiran-2-Ylmethoxy)-3-Oxo-Phenoxazine-1,9-Dicarboxamide; 2-Amino-N,N'-Bis(3,10-Diisopropyl-7,11,14-Trimethyl-2,5,9,12,15-Pentaoxo-8-Oxa-1,4,11,14-Tetrazabicyclo[14.3.0]Nonadecan-6-Yl)-4,6-Dimethyl-7-(2-Oxiranylmethoxy)-3-Oxophenoxazine-1,9-Dicarboxamide; 2-Amino-N,N'-Bis(3,10-Diisopropyl-2,5,9,12,15-Pentaketo-7,11,14-Trimethyl-8-Oxa-1,4,11,14-Tetrazabicyclo[14.3.0]Nonadecan-6-Yl)-7-Glycidoxy-3-Keto-4,6-Dimethyl-Phenoxazine-1,9-Dicarboxamide
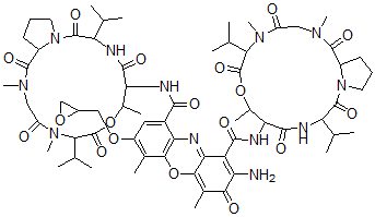
分子结构 CAS 登录号:82830-18-0, 7-(2,3-环氧丙氧基)放线菌素 D
分子式 C65H90N12O18
分子量 1327.50
CAS 登录号 82830-18-0
分子行输入简码 SMILES C5=C(C2=C(OC1=C(C(=O)C(=C(C1=N2)C(=O)NC3C(=O)NC(C(=O)N4C(C(=O)N(CC(=O)N(C(C(OC3C)=O)C(C)C)C)C)CCC4)C(C)C)N)C)C(=C5OCC6OC6)C)C(=O)NC7C(=O)NC(C(=O)N8C(C(=O)N(CC(=O)N(C(C(OC7C)=O)C(C)C)C)C)CCC8)C(C)C
国际化学标识码 InChI 1S/C65H90N12O18/c1-28(2)45-62(87)76-21-17-19-38(76)60(85)72(13)24-41(78)74(15)51(30(5)6)64(89)93-34(11)47(58(83)68-45)70-56(81)37-23-40(92-27-36-26-91-36)32(9)54-49(37)67-50-43(44(66)53(80)33(10)55(50)95-54)57(82)71-48-35(12)94-65(90)52(31(7)8)75(16)42(79)25-73(14)61(86)39-20-18-22-77(39)63(88)46(29(3)4)69-59(48)84/h23,28-31,34-36,38-39,45-48,51-52H,17-22,24-27,66H2,1-16H3,(H,68,83)(H,69,84)(H,70,81)(H,71,82)
国际化学标识检索码 InChIKey FLERDIDECREGNJ-UHFFFAOYSA-N
物理化学性质
密度 1.454g/cm3 (计算值)
沸点 1413.36°C at 760 mmHg (计算值)
闪点 808.571°C (计算值)
市场分析报告
请浏览7-(2,3-环氧丙氧基)放线菌素 D市场分析报告总目录
相关产品
5-甲基-2-氧代-1H,3H-咪唑啉-4-羧酸乙...  三环[5.3.0.0(2.6)]癸-1(7)-烯  3-[O-(十六烷氧基)苯基]-3-氧代-N-(4...  3-[[(E)-2-乙酰氨基乙烯基]硫代]-6-异...  2-(乙酰氨基)-2-脱氧-L-半乳糖醛酸  嘟拉碱  4'-溴-2,3,4,5-四氯-1,1'-联苯  1beta-甲基-1-苯基环己烷  2,4-二羟基-5-(3-(2-羟基苯基)-1-氧...  5-(3-(3-羧基-4-羟基苯基)-1-氧代-2...  3,4-二(3',3'-二甲氧基苯基)-3-己烯  (E)-1-(5-溴-2,4-二羟基-苯基)-3-...  N,N-二乙基-1-[1-(乙基-亚硝基-氨基)乙...  N,N-二乙基-1-(1-亚硝基吡咯烷-2-基)巯...  白三烯 D-4 砜