Online Database of Chemicals from Around the World

正亮氨酰(15)-促胃泌素十七肽
[CAS# 82695-69-0]

供应商
CAS#: 82695-69-0
产品: 正亮氨酰(15)-促胃泌素十七肽
暂时没有厂家供应该产品。
基本信息
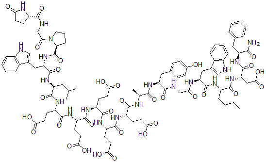
产品名称 正亮氨酰(15)-促胃泌素十七肽
英文名 Nle(15)-Gastrin Heptadecapeptide
别名 15-Nle-Gastrin Heptadecapeptide; 18-34-Gastrin I, 18-(5-Oxo-L-Proline)-22-L-Leucine-32-L-Norleucine-; Gastrin Heptadecapeptide, 2-Aminohexanoic Acid(15)-
分子结构 CAS 登录号:82695-69-0, 正亮氨酰(15)-促胃泌素十七肽
分子式 C98H126N20O31
分子量 2080.19
CAS 登录号 82695-69-0
分子行输入简码 SMILES [C@H](C(N)=O)(NC([C@@H](NC([C@@H](NC([C@@H](NC(CNC(=O)[C@@H](NC([C@H](C)NC([C@@H](NC([C@H](CCC(=O)O)NC([C@@H](NC([C@H](CCC(=O)O)NC([C@@H](NC([C@@H](NC([C@H](CC1=C[NH]C2=C1C=CC=C2)NC(=O)[C@@H]3CCCN3C(CNC([C@@H]4CCC(N4)=O)=O)=O)=O)CC(C)C)=O)CCC(=O)O)=O)=O)CCC(=O)O)=O)=O)CCC(=O)O)=O)=O)CC5=CC=C(C=C5)O)=O)CC6=C[NH]C7=C6C=CC=C7)=O)CCCC)=O)CC(O)=O)=O)CC8=CC=CC=C8
国际化学标识码 InChI 1S/C98H126N20O31/c1-5-6-19-61(89(140)116-73(45-83(133)134)97(148)113-68(84(99)135)41-52-15-8-7-9-16-52)107-95(146)71(43-54-46-100-59-20-12-10-17-57(54)59)106-76(121)48-102-87(138)70(42-53-23-25-56(119)26-24-53)114-85(136)51(4)104-88(139)63(28-34-78(123)124)108-90(141)64(29-35-79(125)126)109-91(142)65(30-36-80(127)128)110-92(143)66(31-37-81(129)130)111-93(144)67(32-38-82(131)132)112-94(145)69(40-50(2)3)115-96(147)72(44-55-47-101-60-21-13-11-18-58(55)60)117-98(149)74-22-14-39-118(74)77(122)49-103-86(137)62-27-33-75(120)105-62/h7-13,15-18,20-21,23-26,46-47,50-51,61-74,100-101,119H,5-6,14,19,22,27-45,48-49H2,1-4H3,(H2,99,135)(H,102,138)(H,103,137)(H,104,139)(H,105,120)(H,106,121)(H,107,146)(H,108,141)(H,109,142)(H,110,143)(H,111,144)(H,112,145)(H,113,148)(H,114,136)(H,115,147)(H,116,140)(H,117,149)(H,123,124)(H,125,126)(H,127,128)(H,129,130)(H,131,132)(H,133,134)/t51-,61-,62-,63-,64-,65-,66-,67-,68-,69-,70-,71-,72-,73-,74-/m0/s1
国际化学标识检索码 InChIKey BCHBOSSOVMKPGP-FPBFVHJESA-N
市场分析报告
请浏览正亮氨酰(15)-促胃泌素十七肽市场分析报告总目录
相关产品
1-脱氧果糖-alpha,beta-去氢-4,5-...  2-(4-氯苯基)-3-乙基-5-氧代-哒嗪-4-...  2-(2-甲氧基苯基)-5-甲基-4-噻唑烷酮  2-(3,4,5-三甲氧基苯基)-1,3-全氢噻嗪...  2,3-环氧-3,4-二(4'-乙酰氧基苯基)-4...  2,3,4,5-二(环氧)-3,4-二(4'-乙酰...  1,7-菲咯啉-5,6-二酮  (2-羟基十六烷基)三甲基氯化铵  十二烷基-2-羟基(2-羟基乙基)二甲基氯化铵  异氰脲酸三甲酯  N-(4-硝基苯基)二甲基次膦酰胺  N,N,N',N'-四甲基-N''-(4-硝基苯基...  6,10-二甲基苯并(a)芘  6-二乙基氨基甲酰氧基-2'-脱氧鸟苷  叔丁氧羰基-羟基脯氨酰-alpha-氨基异丁酰基-...