基本信息
| 产品名称 |
(Z,Z)-4-羟基-N,N,N-三甲基-10-氧代-7-((1-氧代-9-十八碳烯基)氧基)-3,5,9-三氧杂-4-磷杂二十七碳-18-烯-1-铵氢氧化物内盐 4-硫化物 |
| 英文名 |
(Z,Z)-4-Hydroxy-N,N,N-Trimethyl-10-Oxo-7-((1-Oxo-9-Octadecenyl)Oxy)-3,5,9-Trioxa-4-Phosphaheptacos-18-En-1-Aminium Hydroxide Inner Salt 4-Sulfide |
| 别名 |
2-[2,3-Bis[[(Z)-Octadec-9-Enoyl]Oxy]Propoxy-Oxido-Phosphinothioyl]Oxyethyl-Trimethyl-Ammonium; 2-[2,3-Bis[(Z)-1-Oxooctadec-9-Enoxy]Propoxy-Oxidophosphinothioyl]Oxyethyl-Trimethylammonium; 2-[2,3-Bis[[(Z)-Octadec-9-Enoyl]Oxy]Propoxy-Oxido-Thiophosphoryl]Oxyethyl-Trimethyl-Ammonium |
|
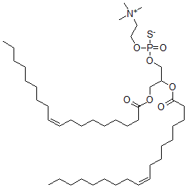
| 分子结构 |
 |
| 分子式 |
C44H84NO7PS |
| 分子量 |
802.18 |
| CAS 登录号 |
81844-74-8 |
| 分子行输入简码 SMILES |
C(CO[P](OCC(COC(CCCCCCC\C=C/CCCCCCCC)=O)OC(CCCCCCC\C=C/CCCCCCCC)=O)(=O)[S-])[N+](C)(C)C |
| 国际化学标识码 InChI |
1S/C44H84NO7PS/c1-6-8-10-12-14-16-18-20-22-24-26-28-30-32-34-36-43(46)49-40-42(41-51-53(48,54)50-39-38-45(3,4)5)52-44(47)37-35-33-31-29-27-25-23-21-19-17-15-13-11-9-7-2/h20-23,42H,6-19,24-41H2,1-5H3/b22-20-,23-21- |
| 国际化学标识检索码 InChIKey |
PNQHZHWDHOTUTA-YEUCEMRASA-N |
|