Online Database of Chemicals from Around the World

6-O-(3-羟基-2-二十二烷基二十六碳酰基)胞壁酰二肽
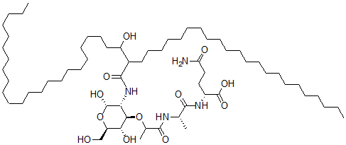
[CAS# 81649-55-0]

供应商
CAS#: 81649-55-0
产品: 6-O-(3-羟基-2-二十二烷基二十六碳酰基)胞壁酰二肽
暂时没有厂家供应该产品。
基本信息
产品名称 6-O-(3-羟基-2-二十二烷基二十六碳酰基)胞壁酰二肽
英文名 6-O-(3-Hydroxy-2-Docosylhexacosanoyl)Muramyl Dipeptide
别名 (2R)-5-Amino-2-[[(2S)-2-[2-[(2S,3R,4R,5S,6R)-3-[(2-Docosyl-3-Hydroxy-Hexacosanoyl)Amino]-2,5-Dihydroxy-6-(Hydroxymethyl)Tetrahydropyran-4-Yl]Oxypropanoylamino]Propanoyl]Amino]-5-Oxo-Pentanoic Acid; (2R)-5-Amino-2-[[(2S)-2-[[2-[[(2S,3R,4R,5S,6R)-3-[(2-Docosyl-3-Hydroxy-1-Oxohexacosyl)Amino]-2,5-Dihydroxy-6-(Hydroxymethyl)-4-Tetrahydropyranyl]Oxy]-1-Oxopropyl]Amino]-1-Oxopropyl]Amino]-5-Oxopentanoic Acid; (2R)-5-Amino-2-[[(2S)-2-[2-[(2S,3R,4R,5S,6R)-3-[(2-Behenyl-3-Hydroxy-Hexacosanoyl)Amino]-2,5-Dihydroxy-6-Methylol-Tetrahydropyran-4-Yl]Oxypropanoylamino]Propanoyl]Amino]-5-Keto-Valeric Acid
分子结构 CAS 登录号:81649-55-0, 6-O-(3-羟基-2-二十二烷基二十六碳酰基)胞壁酰二肽
分子式 C65H124N4O12
分子量 1153.71
CAS 登录号 81649-55-0
分子行输入简码 SMILES [C@@H](C(=O)O)(NC([C@@H](NC(C(C)O[C@H]1[C@H](O)[C@@H](CO)O[C@H](O)[C@@H]1NC(C(C(CCCCCCCCCCCCCCCCCCCCCCC)O)CCCCCCCCCCCCCCCCCCCCCC)=O)=O)C)=O)CCC(=O)N
国际化学标识码 InChI 1S/C65H124N4O12/c1-5-7-9-11-13-15-17-19-21-23-25-27-29-31-33-35-37-39-41-43-45-47-55(71)53(46-44-42-40-38-36-34-32-30-28-26-24-22-20-18-16-14-12-10-8-6-2)63(76)69-58-60(59(73)56(50-70)81-65(58)79)80-52(4)62(75)67-51(3)61(74)68-54(64(77)78)48-49-57(66)72/h51-56,58-60,65,70-71,73,79H,5-50H2,1-4H3,(H2,66,72)(H,67,75)(H,68,74)(H,69,76)(H,77,78)/t51-,52?,53?,54+,55?,56+,58+,59+,60+,65-/m0/s1
国际化学标识检索码 InChIKey BGKQFDBPGUSNRD-IMFIRNKVSA-N
物理化学性质
密度 1.075g/cm3 (计算值)
沸点 1185.227°C at 760 mmHg (计算值)
闪点 670.601°C (计算值)
市场分析报告
请浏览6-O-(3-羟基-2-二十二烷基二十六碳酰基)胞壁酰二肽市场分析报告总目录
相关产品
alpha-羟基异丁酸丁酯  去甲可卡因氧化胺  2-异丁基-3-氧代-4-氯-2-丁基碳酸酯  1-吗啉基甲基萘-2,7-二醇  beta-氰基乙基-腺苷5'-(1-硫代二磷酸酯)  胞壁酸-丙氨酰异谷氨酰胺  Silenoside A  丙基亚硝基脲  1-(2,2-二甲基丙氧基)乙基 3-羟基-alp...  5-O-霉菌素前泰乐内酯  N-(3,5-二氯-2-羟基苯基)-2-羟基苯甲酰...  3-氨基酪胺  苹果酸铅  2-甲基烯丙基异丁酸酯  呋喃大牻牛儿酮