基本信息
| 产品名称 |
20-Deoxorosaranolide |
| 英文名 |
20-Deoxorosaranolide |
| 别名 |
(14E)-3,10-Diethyl-7,9-Dihydroxy-2,8,12,16-Tetramethyl-4,17-Dioxabicyclo[14.1.0]Heptadec-14-Ene-5,13-Quinone; 20-Deoxorosaranolide; Tylonolide, 20-Deoxo-23-Deoxy-12,13-Epoxy-12,13-Dihydro- |
|
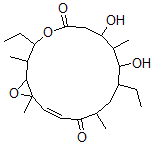
| 分子结构 |
 |
| 分子式 |
C23H38O6 |
| 分子量 |
410.55 |
| CAS 登录号 |
81560-70-5 |
| 分子行输入简码 SMILES |
C(C2OC(=O)CC(O)C(C(O)C(CC(C(=O)/C=C/C1(OC1C2C)C)C)CC)C)C |
| 国际化学标识码 InChI |
1S/C23H38O6/c1-7-16-11-13(3)17(24)9-10-23(6)22(29-23)15(5)19(8-2)28-20(26)12-18(25)14(4)21(16)27/h9-10,13-16,18-19,21-22,25,27H,7-8,11-12H2,1-6H3/b10-9+ |
| 国际化学标识检索码 InChIKey |
XOGKMZLERJTDPN-MDZDMXLPSA-N |
|