Online Database of Chemicals from Around the World

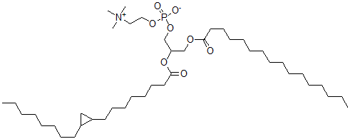
[3-棕榈酰氧基-2-[8-(2-辛基环丙基)辛酰氧基]丙基] 2-三甲基铵基乙基磷酸酯
[CAS# 81004-53-7]

供应商
CAS#: 81004-53-7
产品: [3-棕榈酰氧基-2-[8-(2-辛基环丙基)辛酰氧基]丙基] 2-三甲基铵基乙基磷酸酯
暂时没有厂家供应该产品。
基本信息
产品名称 [3-棕榈酰氧基-2-[8-(2-辛基环丙基)辛酰氧基]丙基] 2-三甲基铵基乙基磷酸酯
英文名 [3-Hexadecanoyloxy-2-[8-(2-octylcyclopropyl)octanoyloxy]propyl] 2-trimethylazaniumylethyl phosphate
别名 [3-Hexadecanoyloxy-2-[8-(2-Octylcyclopropyl)Octanoyloxy]Propyl] 2-Trimethylammonioethyl Phosphate; [2-[8-(2-Octylcyclopropyl)-1-Oxooctoxy]-3-(1-Oxohexadecoxy)Propyl] 2-Trimethylammonioethyl Phosphate; 1-Palmitoyl-2-Dihydrosterculoyl-Sn-Glycero-3-Phosphocholine
分子结构 CAS 登录号:81004-53-7, [3-棕榈酰氧基-2-[8-(2-辛基环丙基)辛酰氧基]丙基] 2-三甲基铵基乙基磷酸酯
分子式 C43H84NO8P
分子量 774.11
CAS 登录号 81004-53-7
分子行输入简码 SMILES C(C1C(C1)CCCCCCCC)CCCCCCC(OC(CO[P](OCC[N+](C)(C)C)([O-])=O)COC(=O)CCCCCCCCCCCCCCC)=O
国际化学标识码 InChI 1S/C43H84NO8P/c1-6-8-10-12-14-15-16-17-18-19-20-24-28-32-42(45)49-37-41(38-51-53(47,48)50-35-34-44(3,4)5)52-43(46)33-29-25-21-23-27-31-40-36-39(40)30-26-22-13-11-9-7-2/h39-41H,6-38H2,1-5H3
国际化学标识检索码 InChIKey NEXGQYNWUMFNAG-UHFFFAOYSA-N
市场分析报告
请浏览[3-棕榈酰氧基-2-[8-(2-辛基环丙基)辛酰氧基]丙基] 2-三甲基铵基乙基磷酸酯市场分析报告总目录
相关产品
1,N(6)-乙烯桥-2'-脱氧腺苷 5'-三磷酸...  2,4-二氯-alpha-羟基-gamma-氧代-...  4-溴-alpha-羟基-gamma-氧代苯丁酸  4-(4-硝基苯基)-4-氧代-2-羟基丁酸  4-(3,5-二甲氧基苯基)-4-氧代-2-羟基丁...  4-(2-硝基苯基)-4-氧代-2-羟基丁酸  腺苷酰(2'-5')-腺苷酰-(2'-5')腺苷 ...  4-(4-溴苯基)-4-羟基哌啶-1-羧酸乙酯  N-[2,2,2-三氯-1,1-二(4-氯苯基)乙...  5-甲基-4-硝基-1H-吡唑-3-羧酸2-(4-...  1H-吡唑-3-羧酸,5-甲基-4-硝基-,2-(...  1H-吡唑-3-羧酸,5-甲基-4-硝基-,2-(...  4-氨基-5-甲基-1H-吡唑-3-羧酸2-(3-...  4-羟基-6-十一烷基-2H-吡喃-2-酮  4,5-二氢噻唑-2-羧酸