Online Database of Chemicals from Around the World

Hygromycin B
[CAS# 8052-93-5]

Suppliers
International Laboratory Limited USA Inquire  
+1 (650) 278-9963
admin@intlab.org
Chemical manufacturer since 2002
Identification
Name Hygromycin B
Synonyms (3'R,3As,4S,4'R,5'R,6R,6'R,7S,7As)-4-[(1R,2S,3R,5S,6R)-3-Amino-2,6-Dihydroxy-5-Methylamino-Cyclohexoxy]-6'-[(1S)-1-Amino-2-Hydroxy-Ethyl]-6-(Hydroxymethyl)Spiro[4,6,7,7A-Tetrahydro-3Ah-[1,3]Dioxolo[4,5-D]Pyran-2,2'-Tetrahydropyran]-3',4',5',7-Tetrol; (3'R,3As,4S,4'R,5'R,6R,6'R,7S,7As)-4-[(1R,2S,3R,5S,6R)-3-Amino-2,6-Dihydroxy-5-Methylaminocyclohexoxy]-6'-[(1S)-1-Amino-2-Hydroxyethyl]-6-(Hydroxymethyl)Spiro[4,6,7,7A-Tetrahydro-3Ah-[1,3]Dioxolo[4,5-D]Pyran-2,2'-Tetrahydropyran]-3',4',5',7-Tetrol; (3'R,3As,4S,4'R,5'R,6R,6'R,7S,7As)-4-[(1R,2S,3R,5S,6R)-3-Amino-2,6-Dihydroxy-5-Methylamino-Cyclohexoxy]-6'-[(1S)-1-Amino-2-Hydroxy-Ethyl]-6-Methylol-Spiro[4,6,7,7A-Tetrahydro-3Ah-[1,3]Dioxolo[4,5-D]Pyran-2,2'-Tetrahydropyran]-3',4',5',7-Tetrol
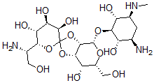
Molecular Structure CAS#: 8052-93-5, Hygromycin B
Molecular Formula C20H37N3O13
Molecular Weight 527.52
CAS Registry Number 8052-93-5
SMILES [C@@H]4(C3(O[C@@H]2[C@H](O[C@H]1[C@@H]([C@H](C[C@H]([C@@H]1O)N)NC)O)O[C@@H]([C@@H]([C@@H]2O3)O)CO)O[C@@H]([C@H](O)[C@H]4O)[C@H](CO)N)O
InChI 1S/C20H37N3O13/c1-23-7-2-5(21)9(26)15(10(7)27)33-19-17-16(11(28)8(4-25)32-19)35-20(36-17)18(31)13(30)12(29)14(34-20)6(22)3-24/h5-19,23-31H,2-4,21-22H2,1H3/t5-,6+,7+,8-,9+,10-,11+,12-,13-,14-,15-,16+,17+,18-,19+,20?/m1/s1
InChIKey GRRNUXAQVGOGFE-KPBUCVLVSA-N
Properties
Density 1.674g/cm3 (Cal.)
Boiling point 897.647°C at 760 mmHg (Cal.)
Flash point 496.679°C (Cal.)
Market Analysis Reports
List of Reports Available for Hygromycin B
Related Products
(E)-3,4-Bis(4-hydroxyphenyl)-3-hexene  5-Mercapto-o-Anisic Acid  Picotamide Monohydrate  (3-((1,3,2-Dioxaphosphorinan-2-yl)oxy)ph...  Protoveratrines  6-Chloromercuricholesterol  Iron  Ethyl N-(Benzoyloxy)Laurimidate  8-(2,2,6,6-Tetramethylpiperidin-4-Yl-1-O...  Bonain's Liquid  5-Bromo-3-(3-Bromo-1,2-Propadienyl)-8-[2...  Proksifein  2-Cyano-3-(4-Methylphenyl)Acrylic Acid  Actifed  Benzylmonobactam