基本信息
| 产品名称 |
N-乌头酰柔红霉素 |
| 英文名 |
N-Aconityldaunomycin |
| 别名 |
(2Z)-2-[2-[[(2S,3S,4S,6R)-6-[[(3S)-3-Acetyl-3,5,12-Trihydroxy-10-Methoxy-6,11-Dioxo-2,4-Dihydro-1H-Tetracen-1-Yl]Oxy]-3-Hydroxy-2-Methyl-Tetrahydropyran-4-Yl]Amino]-2-Oxo-Ethylidene]Butanedioic Acid; (2Z)-2-[2-[[(2S,3S,4S,6R)-6-[[(3S)-3-Acetyl-3,5,12-Trihydroxy-10-Methoxy-6,11-Dioxo-2,4-Dihydro-1H-Tetracen-1-Yl]Oxy]-3-Hydroxy-2-Methyl-4-Tetrahydropyranyl]Amino]-2-Oxoethylidene]Butanedioic Acid; (2Z)-2-[2-[[(2S,3S,4S,6R)-6-[[(3S)-3-Acetyl-3,5,12-Trihydroxy-6,11-Diketo-10-Methoxy-2,4-Dihydro-1H-Tetracen-1-Yl]Oxy]-3-Hydroxy-2-Methyl-Tetrahydropyran-4-Yl]Amino]-2-Keto-Ethylidene]Succinic Acid |
|
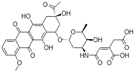
| 分子结构 |
 |
| 分子式 |
C33H33NO15 |
| 分子量 |
683.62 |
| CAS 登录号 |
80445-77-8 |
| 分子行输入简码 SMILES |
[C@@]3(O)(CC1=C(O)C5=C(C(=C1C(O[C@@H]2O[C@H]([C@@H](O)[C@@H](NC(=O)\C=C(C(=O)O)\CC(=O)O)C2)C)C3)O)C(=O)C4=C(OC)C=CC=C4C5=O)C(=O)C |
| 国际化学标识码 InChI |
1S/C33H33NO15/c1-12-27(39)17(34-20(36)7-14(32(44)45)8-21(37)38)9-22(48-12)49-19-11-33(46,13(2)35)10-16-24(19)31(43)26-25(29(16)41)28(40)15-5-4-6-18(47-3)23(15)30(26)42/h4-7,12,17,19,22,27,39,41,43,46H,8-11H2,1-3H3,(H,34,36)(H,37,38)(H,44,45)/b14-7-/t12-,17-,19?,22-,27+,33-/m0/s1 |
| 国际化学标识检索码 InChIKey |
IIZSVMHRXBHTLX-PLPPDFPPSA-N |
|