Online Database of Chemicals from Around the World

1,2-二(4-(1-芘基)丁酰基)-Sn-甘油-3-磷酰胆碱
[CAS# 80115-55-5]

供应商
CAS#: 80115-55-5
产品: 1,2-二(4-(1-芘基)丁酰基)-Sn-甘油-3-磷酰胆碱
暂时没有厂家供应该产品。
基本信息
产品名称 1,2-二(4-(1-芘基)丁酰基)-Sn-甘油-3-磷酰胆碱
英文名 1,2-Bis(4-(1-Pyreno)Butanoyl)-Sn-Glycero-3-Phosphorylcholine
别名 [(2R)-2,3-Bis(4-Pyren-4-Ylbutanoyloxy)Propyl] 2-Trimethylammonioethyl Phosphate; [(2R)-2,3-Bis[1-Oxo-4-(4-Pyrenyl)Butoxy]Propyl] 2-Trimethylammonioethyl Phosphate; 1,2-Bis(4-(1-Pyreno)Butanoyl)-Sn-Glycero-3-Phosphorylcholine
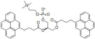
分子结构 CAS 登录号:80115-55-5, 1,2-二(4-(1-芘基)丁酰基)-Sn-甘油-3-磷酰胆碱
分子式 C48H48NO8P
分子量 797.88
CAS 登录号 80115-55-5
分子行输入简码 SMILES [C@H](CO[P](OCC[N+](C)(C)C)(=O)[O-])(COC(CCCC2=CC1=CC=CC4=C1C3=C2C=CC=C3C=C4)=O)OC(CCCC6=CC5=CC=CC8=C5C7=C6C=CC=C7C=C8)=O
国际化学标识码 InChI 1S/C48H48NO8P/c1-49(2,3)26-27-55-58(52,53)56-31-40(57-44(51)21-9-15-37-29-39-17-5-11-33-23-25-35-13-7-19-42(37)48(35)46(33)39)30-54-43(50)20-8-14-36-28-38-16-4-10-32-22-24-34-12-6-18-41(36)47(34)45(32)38/h4-7,10-13,16-19,22-25,28-29,40H,8-9,14-15,20-21,26-27,30-31H2,1-3H3/t40-/m1/s1
国际化学标识检索码 InChIKey VHLDVPUFVVHFQE-RRHRGVEJSA-N
市场分析报告
请浏览1,2-二(4-(1-芘基)丁酰基)-Sn-甘油-3-磷酰胆碱市场分析报告总目录
相关产品
N-羟基-N-丙酰基-4-氨基联苯  N-乙酰基白三烯 D4  1,3-二甲基-3-丁烯基水杨酸酯  4'-O-去甲基猎神霉素  3'-羟基猎神霉素  偏磷酸六钠  3-溴-1,2-环氧环己烷  Nestosyl Ointment  4'-(beta-D-吡喃葡萄糖基糖醛酸)-del...  丙烷-1,2,3-三醇  英泼来特  5,6-环氧视黄基磷酸酯  2-[2-(二(羧酸甲基)氨基)乙基(羧酸甲基)氨...  3-乙酰氨基-3,6-二脱氧葡萄糖  2-乙基己基2-氰基-3,3-二苯基-丙-2-烯酸...