Online Database of Chemicals from Around the World

(2'-5')-3'-脱氧腺苷三磷酸酯-3'-脱氧腺苷单磷酸酯
[CAS# 79919-77-0]

供应商
CAS#: 79919-77-0
产品: (2'-5')-3'-脱氧腺苷三磷酸酯-3'-脱氧腺苷单磷酸酯
暂时没有厂家供应该产品。
基本信息
产品名称 (2'-5')-3'-脱氧腺苷三磷酸酯-3'-脱氧腺苷单磷酸酯
英文名 (2'-5')-3'-Deoxyadenosine Triphosphate-3'-Deoxyadenosine Monophosphate
别名 [(2R,5S)-2-(6-Aminopurin-9-Yl)-5-[[Hydroxy-(Hydroxy-Phosphonooxy-Phosphoryl)Oxy-Phosphoryl]Oxymethyl]Tetrahydrofuran-3-Yl] [(2S,4R,5R)-5-(6-Aminopurin-9-Yl)-4-Hydroxy-Tetrahydrofuran-2-Yl]Methyl Hydrogen Phosphate; [(2R,5S)-2-(6-Amino-9-Purinyl)-5-[[Hydroxy-(Hydroxy-Phosphonooxyphosphoryl)Oxyphosphoryl]Oxymethyl]-3-Tetrahydrofuranyl] [(2S,4R,5R)-5-(6-Amino-9-Purinyl)-4-Hydroxy-2-Tetrahydrofuranyl]Methyl Hydrogen Phosphate; [(2R,5S)-2-(6-Aminopurin-9-Yl)-5-[[Hydroxy-(Hydroxy-Phosphonooxy-Phosphoryl)Oxy-Phosphoryl]Oxymethyl]Oxolan-3-Yl] [(2S,4R,5R)-5-(6-Aminopurin-9-Yl)-4-Hydroxy-Oxolan-2-Yl]Methyl Hydrogen Phosphate
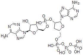
分子结构 CAS 登录号:79919-77-0, (2'-5')-3'-脱氧腺苷三磷酸酯-3'-脱氧腺苷单磷酸酯
分子式 C20H28N10O17P4
分子量 804.39
CAS 登录号 79919-77-0
分子行输入简码 SMILES [C@H]1(O[C@@H](CC1O[P](OC[C@H]4O[C@@H]([N]2C3=C(N=C2)C(=NC=N3)N)[C@H](O)C4)(=O)O)CO[P](O[P](O[P](=O)(O)O)(=O)O)(=O)O)[N]5C6=C(N=C5)C(=NC=N6)N
国际化学标识码 InChI 1S/C20H28N10O17P4/c21-15-13-17(25-5-23-15)29(7-27-13)19-11(31)1-9(43-19)3-41-49(35,36)45-12-2-10(4-42-50(37,38)47-51(39,40)46-48(32,33)34)44-20(12)30-8-28-14-16(22)24-6-26-18(14)30/h5-12,19-20,31H,1-4H2,(H,35,36)(H,37,38)(H,39,40)(H2,21,23,25)(H2,22,24,26)(H2,32,33,34)/t9-,10-,11+,12?,19+,20+/m0/s1
国际化学标识检索码 InChIKey CWQYUTOZJAQODW-JVOFDEDVSA-N
物理化学性质
密度 2.472g/cm3 (计算值)
沸点 1199.422°C at 760 mmHg (计算值)
闪点 679.186°C (计算值)
市场分析报告
请浏览(2'-5')-3'-脱氧腺苷三磷酸酯-3'-脱氧腺苷单磷酸酯市场分析报告总目录
相关产品
2-(3,4-二氢-6-羟基-2,5,7,8-四甲...  2,2-二(4-(4-马来酰亚胺苯氧基)苯基)丙烷  beta-内啡肽 (2-9)  4-[2-(2,6-二甲基-苯基)-乙基]-1H-...  2-氨基甲酰苯基硫胺单磷酸酯  2,4-二硝基-N-(4-(1,1,2,2-四氟乙...  5-氯-3-(1-戊基-1,2,3,6-四氢-4-...  2-硫代-3-(2,3,5-三-O-乙酰基-bet...  Sohirnone B  马来酰亚胺基甲基-3-马来酰亚胺基丙酸酯  Dinostanol  8-(苯基偶氮)鸟嘌呤  N-[3-(6-氨基嘌呤-9-基)丙基]-6-氯-...  1-(3-((6-氯-2-甲氧基-9-吖啶基)氨基...  6-氯-2-甲氧基-N-丙基-吖啶-9-胺