Online Database of Chemicals from Around the World

(4R,7S,10S,13S,16S,19R)-10-(4-氨基丁基)-19-[[(2S)-2-氨基-3-苯基丙酰基]氨基]-7-(1-羟基乙基)-13-(1H-吲哚-3-基甲基)-6,9,12,15,18-五氧代-16-(苯基甲基)-1,2-二硫杂-5,8,11,14,17-五氮杂环二十烷-4-甲酰胺
[CAS# 79486-60-5]

供应商
CAS#: 79486-60-5
产品: (4R,7S,10S,13S,16S,19R)-10-(4-氨基丁基)-19-[[(2S)-2-氨基-3-苯基丙酰基]氨基]-7-(1-羟基乙基)-13-(1H-吲哚-3-基甲基)-6,9,12,15,18-五氧代-16-(苯基甲基)-1,2-二硫杂-5,8,11,14,17-五氮杂环二十烷-4-甲酰胺
暂时没有厂家供应该产品。
基本信息
产品名称 (4R,7S,10S,13S,16S,19R)-10-(4-氨基丁基)-19-[[(2S)-2-氨基-3-苯基丙酰基]氨基]-7-(1-羟基乙基)-13-(1H-吲哚-3-基甲基)-6,9,12,15,18-五氧代-16-(苯基甲基)-1,2-二硫杂-5,8,11,14,17-五氮杂环二十烷-4-甲酰胺
英文名 (4R,7S,10S,13S,16S,19R)-10-(4-Aminobutyl)-19-[[(2S)-2-Amino-3-Phenylpropanoyl]Amino]-7-(1-Hydroxyethyl)-13-(1H-Indol-3-Ylmethyl)-6,9,12,15,18-Pentaoxo-16-(Phenylmethyl)-1,2-Dithia-5,8,11,14,17-Pentazacycloicosane-4-Carboxamide
别名 (4R,7S,10S,13S,16S,19R)-10-(4-Aminobutyl)-19-[[(2S)-2-Amino-3-Phenyl-Propanoyl]Amino]-7-(1-Hydroxyethyl)-13-(1H-Indol-3-Ylmethyl)-6,9,12,15,18-Pentaoxo-16-(Phenylmethyl)-1,2-Dithia-5,8,11,14,17-Pentazacycloicosane-4-Carboxamide; (4R,7S,10S,13S,16S,19R)-10-(4-Aminobutyl)-19-[[(2S)-2-Amino-1-Oxo-3-Phenylpropyl]Amino]-7-(1-Hydroxyethyl)-13-(1H-Indol-3-Ylmethyl)-6,9,12,15,18-Pentaoxo-16-(Phenylmethyl)-1,2-Dithia-5,8,11,14,17-Pentazacycloicosane-4-Carboxamide; (4R,7S,10S,13S,16S,19R)-10-(4-Aminobutyl)-19-[[(2S)-2-Amino-3-Phenyl-Propanoyl]Amino]-16-(Benzyl)-7-(1-Hydroxyethyl)-13-(1H-Indol-3-Ylmethyl)-6,9,12,15,18-Pentaketo-1,2-Dithia-5,8,11,14,17-Pentazacycloicosane-4-Carboxamide
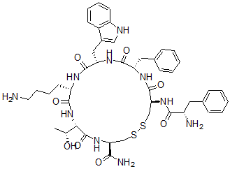
分子结构 CAS 登录号:79486-60-5, (4R,7S,10S,13S,16S,19R)-10-(4-氨基丁基)-19-[[(2S)-2-氨基-3-苯基丙酰基]氨基]-7-(1-羟基乙基)-13-(1H-吲哚-3-基甲基)-6,9,12,15,18-五氧代-16-(苯基甲基)-1,2-二硫杂-5,8,11,14,17-五氮杂环二十烷-4-甲酰胺
分子式 C45H58N10O8S2
分子量 931.14
CAS 登录号 79486-60-5
分子行输入简码 SMILES [C@H]2(NC(=O)[C@@H](NC(=O)[C@@H](NC(=O)[C@@H](N)CC1=CC=CC=C1)CSSC[C@H](NC(=O)[C@@H](NC(=O)[C@@H](NC2=O)CCCCN)[C@H](O)C)C(=O)N)CC3=CC=CC=C3)CC4=C[NH]C5=C4C=CC=C5
国际化学标识码 InChI 1S/C45H58N10O8S2/c1-26(56)38-45(63)53-36(39(48)57)24-64-65-25-37(54-40(58)31(47)20-27-12-4-2-5-13-27)44(62)51-34(21-28-14-6-3-7-15-28)42(60)52-35(22-29-23-49-32-17-9-8-16-30(29)32)43(61)50-33(41(59)55-38)18-10-11-19-46/h2-9,12-17,23,26,31,33-38,49,56H,10-11,18-22,24-25,46-47H2,1H3,(H2,48,57)(H,50,61)(H,51,62)(H,52,60)(H,53,63)(H,54,58)(H,55,59)/t26-,31+,33+,34+,35+,36+,37+,38+/m1/s1
国际化学标识检索码 InChIKey PWRIWNRQEPOGNP-DYDSHOKNSA-N
物理化学性质
密度 1.395g/cm3 (计算值)
沸点 1378.071°C at 760 mmHg (计算值)
闪点 787.229°C (计算值)
市场分析报告
请浏览(4R,7S,10S,13S,16S,19R)-10-(4-氨基丁基)-19-[[(2S)-2-氨基-3-苯基丙酰基]氨基]-7-(1-羟基乙基)-13-(1H-吲哚-3-基甲基)-6,9,12,15,18-五氧代-16-(苯基甲基)-1,2-二硫杂-5,8,11,14,17-五氮杂环二十烷-4-甲酰胺市场分析报告总目录
相关产品
5-(2-氟苯基)-1-甲基-7-亚硝基-3H-1...  7-甲基-8-(4-甲基戊-4-烯基)-3-丙-2...  [(3aR,4R,5Z,7S,9S,10Z,11a...  五溴丙酮  6,7-二羟基-2-(3,4,5-三甲氧基苯基)苯...  6-(5-硝基-2-呋喃基乙烯基)-3-(二羟基二...  (5S,6R,7E,9E,11Z)-6-[(2R)...  (2R,3R,6R,7R)-7-[(5-氨基-6-...  8-乙氧基-6a,7,10a,12-四羟基-3-甲...  (3Z,5S,6S,7S,9R,11Z,13Z,1...  [(1S,3R,4S,4aR,8R,8aR)-8a...  6-[(1E,3E,5E)-6-[(1S,2S,3...  5,6,7,8-四氢萘-1-硫醇  2-[4-[[(2S)-1,5-双十二烷氧基-1,...  2,3,4,10-四氢嘧啶并[1,2-a]苯并咪唑...