Online Database of Chemicals from Around the World

3-羟基癸酰-辅酶A
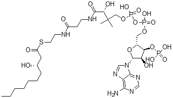
[CAS# 79171-49-6]

供应商
CAS#: 79171-49-6
产品: 3-羟基癸酰-辅酶A
暂时没有厂家供应该产品。
基本信息
产品名称 3-羟基癸酰-辅酶A
英文名 3-Hydroxydecanoyl-coenzyme A
别名 S-[2-[3-[[(2R)-4-[[[(2R,3S,4R,5R)-5-(6-Aminopurin-9-Yl)-4-Hydroxy-3-Phosphonooxy-Tetrahydrofuran-2-Yl]Methoxy-Hydroxy-Phosphoryl]Oxy-Hydroxy-Phosphoryl]Oxy-2-Hydroxy-3,3-Dimethyl-Butanoyl]Amino]Propanoylamino]Ethyl] (3S)-3-Hydroxydecanethioate; (3S)-3-Hydroxydecanethioic Acid S-[2-[[3-[[(2R)-4-[[[(2R,3S,4R,5R)-5-(6-Amino-9-Purinyl)-4-Hydroxy-3-Phosphonooxy-2-Tetrahydrofuranyl]Methoxy-Hydroxyphosphoryl]Oxy-Hydroxyphosphoryl]Oxy-2-Hydroxy-3,3-Dimethyl-1-Oxobutyl]Amino]-1-Oxopropyl]Amino]Ethyl] Ester; (3S)-3-Hydroxydecanethioic Acid S-[2-[3-[[(2R)-4-[[[(2R,3S,4R,5R)-5-(6-Aminopurin-9-Yl)-4-Hydroxy-3-Phosphonooxy-Tetrahydrofuran-2-Yl]Methoxy-Hydroxy-Phosphoryl]Oxy-Hydroxy-Phosphoryl]Oxy-2-Hydroxy-3,3-Dimethyl-Butanoyl]Amino]Propanoylamino]Ethyl] Ester
分子结构 CAS 登录号:79171-49-6, 3-羟基癸酰-辅酶A
分子式 C31H54N7O18P3S
分子量 937.79
CAS 登录号 79171-49-6
分子行输入简码 SMILES [C@H]1(O[P](O)(O)=O)[C@@H](O)[C@@H](O[C@@H]1CO[P](O[P](OCC([C@@H](O)C(=O)NCCC(=O)NCCSC(=O)C[C@@H](O)CCCCCCC)(C)C)(O)=O)(O)=O)[N]3C2=NC=NC(=C2N=C3)N
国际化学标识码 InChI 1S/C31H54N7O18P3S/c1-4-5-6-7-8-9-19(39)14-22(41)60-13-12-33-21(40)10-11-34-29(44)26(43)31(2,3)16-53-59(50,51)56-58(48,49)52-15-20-25(55-57(45,46)47)24(42)30(54-20)38-18-37-23-27(32)35-17-36-28(23)38/h17-20,24-26,30,39,42-43H,4-16H2,1-3H3,(H,33,40)(H,34,44)(H,48,49)(H,50,51)(H2,32,35,36)(H2,45,46,47)/t19-,20+,24+,25+,26-,30+/m0/s1
国际化学标识检索码 InChIKey HIVSMYZAMUNFKZ-PNPVFPMQSA-N
物理化学性质
密度 1.703g/cm3 (计算值)
市场分析报告
请浏览3-羟基癸酰-辅酶A市场分析报告总目录
相关产品
苯-1,3,5-三醇;1,3,5-三甲氧基苯  1-氰基-N-(4-氟苯基)硫代甲酰胺  丙-2-基(2R)-2-氨基-3-巯基丙酸酯  N-[3-(1,3-二甲基-2,6-二氧代-7H-...  吡啶-2-硼酸频哪醇酯  5-(4-氨基丁基)-5-苯基-1,3-二嗪农-2...  5-溴-1-(苯基甲基)吲哚-2,3-二酮  2-[[2-(9H-芴-9-基)乙酰基]氨基]-3...  [2,2-二甲基-7-(甲基氨基甲酰氧基)-3H-...  2-[(2S,4S,6S)-2,4-二羟基-5,5...  N-(4-乙氧基苯基)-乙酰胺与(R*,S*)-(...  [(1R,4S)-4-羟基-3-甲基-1-环戊-2...  三甲基-[(3-甲基-4-氧代-1-环戊-2-烯基...  (2S)-3-甲基-2-[(2R,3R,4S,5S...  4-[4-(3,4-二羟基苯基)己烷-3-基]苯-...