基本信息
| 产品名称 |
十一烷基硫基甲基-己基-二(2-羟基乙基)氯化铵 |
| 英文名 |
Dodecylsulfanylmethyl-Hexyl-Bis(2-Hydroxyethyl)Azanium Chloride |
| 别名 |
Dodecylsulfanylmethyl-Hexyl-Bis(2-Hydroxyethyl)Ammonium Chloride; (Dodecylthio)Methyl-Hexyl-Bis(2-Hydroxyethyl)Ammonium Chloride; Hexyl-Bis(2-Hydroxyethyl)-[(Laurylthio)Methyl]Ammonium Chloride |
|
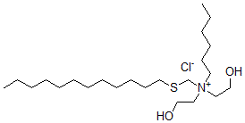
| 分子结构 |
 |
| 分子式 |
C23H50ClNO2S |
| 分子量 |
440.17 |
| CAS 登录号 |
78865-87-9 |
| 分子行输入简码 SMILES |
C([N+](CCO)(CCO)CSCCCCCCCCCCCC)CCCCC.[Cl-] |
| 国际化学标识码 InChI |
1S/C23H50NO2S.ClH/c1-3-5-7-9-10-11-12-13-14-16-22-27-23-24(18-20-25,19-21-26)17-15-8-6-4-2;/h25-26H,3-23H2,1-2H3;1H/q+1;/p-1 |
| 国际化学标识检索码 InChIKey |
NHHUWJHEAMVCMO-UHFFFAOYSA-M |
|