Online Database of Chemicals from Around the World

4-[4-[4-[5-[5-氨基-3-(2-氨基丙酰氨基)-4-羟基-6-甲基四氢吡喃-2-基]氧基-3,4-二羟基-6-(羟基甲基)四氢吡喃-2-基]氧基-3,5-二羟基-6-(羟基甲基)四氢吡喃-2-基]氧基-3-羟基-5-(羟基甲基)四氢呋喃-2-基]氧基-N-[3-[4-(4-氨基丁基氨基)丁基氨基]丙基]苯甲酰胺
[CAS# 78213-54-4]

供应商
CAS#: 78213-54-4
产品: 4-[4-[4-[5-[5-氨基-3-(2-氨基丙酰氨基)-4-羟基-6-甲基四氢吡喃-2-基]氧基-3,4-二羟基-6-(羟基甲基)四氢吡喃-2-基]氧基-3,5-二羟基-6-(羟基甲基)四氢吡喃-2-基]氧基-3-羟基-5-(羟基甲基)四氢呋喃-2-基]氧基-N-[3-[4-(4-氨基丁基氨基)丁基氨基]丙基]苯甲酰胺
暂时没有厂家供应该产品。
基本信息
产品名称 4-[4-[4-[5-[5-氨基-3-(2-氨基丙酰氨基)-4-羟基-6-甲基四氢吡喃-2-基]氧基-3,4-二羟基-6-(羟基甲基)四氢吡喃-2-基]氧基-3,5-二羟基-6-(羟基甲基)四氢吡喃-2-基]氧基-3-羟基-5-(羟基甲基)四氢呋喃-2-基]氧基-N-[3-[4-(4-氨基丁基氨基)丁基氨基]丙基]苯甲酰胺
英文名 4-[4-[4-[5-[5-Amino-3-(2-Aminopropanoylamino)-4-Hydroxy-6-Methyloxan-2-Yl]Oxy-3,4-Dihydroxy-6-(Hydroxymethyl)Oxan-2-Yl]Oxy-3,5-Dihydroxy-6-(Hydroxymethyl)Oxan-2-Yl]Oxy-3-Hydroxy-5-(Hydroxymethyl)Oxolan-2-Yl]Oxy-N-[3-[4-(4-Aminobutylamino)Butylamino]Propyl]Benzamide
别名 4-[4-[4-[5-[5-Amino-3-(2-Aminopropanoylamino)-4-Hydroxy-6-Methyl-Tetrahydropyran-2-Yl]Oxy-3,4-Dihydroxy-6-(Hydroxymethyl)Tetrahydropyran-2-Yl]Oxy-3,5-Dihydroxy-6-(Hydroxymethyl)Tetrahydropyran-2-Yl]Oxy-3-Hydroxy-5-(Hydroxymethyl)Tetrahydrofuran-2-Yl]Oxy-N-[3-[4-(4-Aminobutylamino)Butylamino]Propyl]Benzamide; 4-[[4-[[4-[[5-[[5-Amino-3-[(2-Amino-1-Oxopropyl)Amino]-4-Hydroxy-6-Methyl-2-Tetrahydropyranyl]Oxy]-3,4-Dihydroxy-6-(Hydroxymethyl)-2-Tetrahydropyranyl]Oxy]-3,5-Dihydroxy-6-(Hydroxymethyl)-2-Tetrahydropyranyl]Oxy]-3-Hydroxy-5-(Hydroxymethyl)-2-Tetrahydrofuranyl]Oxy]-N-[3-[4-(4-Aminobutylamino)Butylamino]Propyl]Benzamide; 4-[4-[4-[5-[3-(Alanylamino)-5-Amino-4-Hydroxy-6-Methyl-Tetrahydropyran-2-Yl]Oxy-3,4-Dihydroxy-6-Methylol-Tetrahydropyran-2-Yl]Oxy-3,5-Dihydroxy-6-Methylol-Tetrahydropyran-2-Yl]Oxy-3-Hydroxy-5-Methylol-Tetrahydrofuran-2-Yl]Oxy-N-[3-[4-(4-Aminobutylamino)Butylamino]Propyl]Benzamide
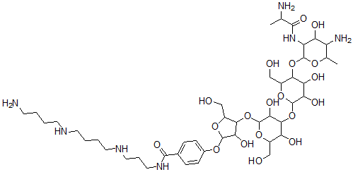
分子结构 CAS 登录号:78213-54-4, 4-[4-[4-[5-[5-氨基-3-(2-氨基丙酰氨基)-4-羟基-6-甲基四氢吡喃-2-基]氧基-3,4-二羟基-6-(羟基甲基)四氢吡喃-2-基]氧基-3,5-二羟基-6-(羟基甲基)四氢吡喃-2-基]氧基-3-羟基-5-(羟基甲基)四氢呋喃-2-基]氧基-N-[3-[4-(4-氨基丁基氨基)丁基氨基]丙基]苯甲酰胺
分子式 C44H77N7O19
分子量 1008.13
CAS 登录号 78213-54-4
分子行输入简码 SMILES C5=C(OC4OC(C(OC1C(C(C(O)C(O1)CO)OC3C(C(C(OC2C(C(C(C(O2)C)N)O)NC(C(C)N)=O)C(O3)CO)O)O)O)C4O)CO)C=CC(=C5)C(=O)NCCCNCCCCNCCCCN
国际化学标识码 InChI 1S/C44H77N7O19/c1-21(46)39(61)51-29-31(56)28(47)22(2)63-41(29)68-36-26(19-53)66-42(33(58)32(36)57)70-38-30(55)25(18-52)65-44(35(38)60)69-37-27(20-54)67-43(34(37)59)64-24-10-8-23(9-11-24)40(62)50-17-7-16-49-15-6-5-14-48-13-4-3-12-45/h8-11,21-22,25-38,41-44,48-49,52-60H,3-7,12-20,45-47H2,1-2H3,(H,50,62)(H,51,61)
国际化学标识检索码 InChIKey RHNHFMNAFLYIKD-UHFFFAOYSA-N
物理化学性质
密度 1.447g/cm3 (计算值)
沸点 1244.264°C at 760 mmHg (计算值)
闪点 706.305°C (计算值)
市场分析报告
请浏览4-[4-[4-[5-[5-氨基-3-(2-氨基丙酰氨基)-4-羟基-6-甲基四氢吡喃-2-基]氧基-3,4-二羟基-6-(羟基甲基)四氢吡喃-2-基]氧基-3,5-二羟基-6-(羟基甲基)四氢吡喃-2-基]氧基-3-羟基-5-(羟基甲基)四氢呋喃-2-基]氧基-N-[3-[4-(4-氨基丁基氨基)丁基氨基]丙基]苯甲酰胺市场分析报告总目录
相关产品
4-[4-[4-[5-[5-氨基-3-(2-氨基丙...  4-[4-[4-[5-[5-氨基-3-(2-氨基丙...  (2S)-2-氨基-2-(1-甲基环丙基)乙酸  (2R,3S,3aR,4aS,4bS,6aR,7S...  (2R,3S,3aR,4aS,4bS,6aR,7S...  2-[(E)-2-(3-甲氧基苯基)乙烯基]-3,...  (2Z)-2-[(Z)-4-(4-氧代-1-环己-...  4-[(1S,6R)-3-甲基-6-丙-1-烯-2...  4-乙基-4-十六烷基吗啉鎓乙基硫酸盐  4-(1-苯并呋喃-2-基)苯胺  3-二乙基氨基丙基2,3-二(苯基)丙酸酯  3-氯-N-(2-氯乙基)丙-1-胺盐酸盐  2-[二(2-氯乙基)氨基-(2-氯乙氧基)磷酰]...  二丙-2-基吡啶-3-基磷酸酯  4-[[二(2-氯乙基)氨基-(2-氯乙基氨基)磷...