Online Database of Chemicals from Around the World

2-羟基-3-[5'-羟基-3-[(E)-4-[4-羟基-2-[1-羟基-3-(3-甲基-1,7-二氧杂螺[5.5]十一烷-2-基)丁基]-3-亚甲基螺[4a,7,8,8a-四氢-4H-吡喃并[5,6-b]吡喃-6,5'-四氢呋喃]-2'-基]丁-3-烯-2-基]-1-甲基螺[4-氧杂-7-硫杂双环[4.1.0]庚烷-5,6'-四氢吡喃]-2'-基]-2-甲基丙酸甲酯
[CAS# 78111-16-7]

供应商
CAS#: 78111-16-7
产品: 2-羟基-3-[5'-羟基-3-[(E)-4-[4-羟基-2-[1-羟基-3-(3-甲基-1,7-二氧杂螺[5.5]十一烷-2-基)丁基]-3-亚甲基螺[4a,7,8,8a-四氢-4H-吡喃并[5,6-b]吡喃-6,5'-四氢呋喃]-2'-基]丁-3-烯-2-基]-1-甲基螺[4-氧杂-7-硫杂双环[4.1.0]庚烷-5,6'-四氢吡喃]-2'-基]-2-甲基丙酸甲酯
暂时没有厂家供应该产品。
基本信息
产品名称 2-羟基-3-[5'-羟基-3-[(E)-4-[4-羟基-2-[1-羟基-3-(3-甲基-1,7-二氧杂螺[5.5]十一烷-2-基)丁基]-3-亚甲基螺[4a,7,8,8a-四氢-4H-吡喃并[5,6-b]吡喃-6,5'-四氢呋喃]-2'-基]丁-3-烯-2-基]-1-甲基螺[4-氧杂-7-硫杂双环[4.1.0]庚烷-5,6'-四氢吡喃]-2'-基]-2-甲基丙酸甲酯
英文名 Methyl 2-Hydroxy-3-[5'-Hydroxy-3-[(E)-4-[4-Hydroxy-2-[1-Hydroxy-3-(3-Methyl-1,7-Dioxaspiro[5.5]Undecan-2-Yl)Butyl]-3-Methylidenespiro[4a,7,8,8a-Tetrahydro-4H-Pyrano[5,6-b]Pyran-6,5'-Oxolane]-2'-Yl]But-3-En-2-Yl]-1-Methylspiro[4-Oxa-7-Thiabicyclo[4.1.0]Heptane-5,6'-Oxane]-2'-Yl]-2-Methylpropanoate
别名 Methyl 2-Hydroxy-3-[5'-Hydroxy-3-[(E)-3-[4-Hydroxy-2-[1-Hydroxy-3-(3-Methyl-1,7-Dioxaspiro[5.5]Undecan-2-Yl)Butyl]-3-Methylene-Spiro[4A,7,8,8A-Tetrahydro-4H-Pyrano[5,6-B]Pyran-6,5'-Tetrahydrofuran]-2'-Yl]-1-Methyl-Prop-2-Enyl]-1-Methyl-Spiro[4-Oxa-7-Thiabicyclo[4.1.0]Heptane-5,6'-Tetrahydropyran]-2'-Yl]-2-Methyl-Propanoate; 2-Hydroxy-3-[5'-Hydroxy-3-[(E)-3-[4-Hydroxy-2-[1-Hydroxy-3-(3-Methyl-1,7-Dioxaspiro[5.5]Undecan-2-Yl)Butyl]-3-Methylene-2'-Spiro[4A,7,8,8A-Tetrahydro-4H-Pyrano[5,6-B]Pyran-6,5'-Tetrahydrofuran]Yl]-1-Methylprop-2-Enyl]-1-Methyl-2'-Spiro[4-Oxa-7-Thiabicyclo[4.1.0]Heptane-5,6'-Tetrahydropyran]Yl]-2-Methylpropanoic Acid Methyl Ester; 2-Hydroxy-3-[5'-Hydroxy-3-[(E)-3-[4-Hydroxy-2-[1-Hydroxy-3-(3-Methyl-1,7-Dioxaspiro[5.5]Undecan-2-Yl)Butyl]-3-Methylene-Spiro[4A,7,8,8A-Tetrahydro-4H-Pyrano[5,6-B]Pyran-6,5'-Tetrahydrofuran]-2'-Yl]-1-Methyl-Prop-2-Enyl]-1-Methyl-Spiro[4-Oxa-7-Thiabicyclo[4.1.0]Heptane-5,6'-Tetrahydropyran]-2'-Yl]-2-Methyl-Propionic Acid Methyl Ester
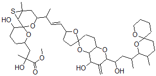
分子结构 CAS 登录号:78111-16-7, 2-羟基-3-[5'-羟基-3-[(E)-4-[4-羟基-2-[1-羟基-3-(3-甲基-1,7-二氧杂螺[5.5]十一烷-2-基)丁基]-3-亚甲基螺[4a,7,8,8a-四氢-4H-吡喃并[5,6-b]吡喃-6,5'-四氢呋喃]-2'-基]丁-3-烯-2-基]-1-甲基螺[4-氧杂-7-硫杂双环[4.1.0]庚烷-5,6'-四氢吡喃]-2'-基]-2-甲基丙酸甲酯
分子式 C45H70O13S
分子量 851.10
CAS 登录号 78111-16-7
分子行输入简码 SMILES C(C8OC1(OC(CC2(SC12)C)C(\C=C\C7OC6(OC3C(OC(C(C3O)=C)C(O)CC(C5OC4(OCCCC4)CCC5C)C)CC6)CC7)C)C(O)CC8)C(O)(C(OC)=O)C
国际化学标识码 InChI 1S/C45H70O13S/c1-25(33-24-42(6)39(59-42)45(56-33)34(47)13-12-30(55-45)23-41(5,50)40(49)51-7)10-11-29-15-19-44(54-29)20-16-32-38(58-44)35(48)28(4)37(53-32)31(46)22-27(3)36-26(2)14-18-43(57-36)17-8-9-21-52-43/h10-11,25-27,29-39,46-48,50H,4,8-9,12-24H2,1-3,5-7H3/b11-10+
国际化学标识检索码 InChIKey RGDJFRFEGQREJC-ZHACJKMWSA-N
物理化学性质
密度 1.299g/cm3 (计算值)
沸点 923.862°C at 760 mmHg (计算值)
闪点 512.533°C (计算值)
市场分析报告
请浏览2-羟基-3-[5'-羟基-3-[(E)-4-[4-羟基-2-[1-羟基-3-(3-甲基-1,7-二氧杂螺[5.5]十一烷-2-基)丁基]-3-亚甲基螺[4a,7,8,8a-四氢-4H-吡喃并[5,6-b]吡喃-6,5'-四氢呋喃]-2'-基]丁-3-烯-2-基]-1-甲基螺[4-氧杂-7-硫杂双环[4.1.0]庚烷-5,6'-四氢吡喃]-2'-基]-2-甲基丙酸甲酯市场分析报告总目录
相关产品
1-[3-(2,3-二氢-1H-茚-5-基氧基)丙...  1-[3-[(6-氟-2,3-二氢-1H-茚-5-...  [(2R)-2-癸酰氧基-3-十八烷酰基氧基丙基]...  2-(2-甲基-1H-吲哚-3-基)-N'-(苯基...  (NZ)-N-[(E)-1-硝基壬-3-烯亚基]羟...  N,N,N',N'-四甲基-10-壬基吖啶-10-...  2,2,2-三氯-1-[3-(2,2,2-三氯-1...  2-[2-(噻吩-2-碳基硫基)丙酰氨基]乙酸钠  氟非那嗪马来酸盐  [(1R,2R)-2-[(2-磺基硫基乙基氨基)甲...  4-环己基-5-羟基呋喃-3-酮  5-羟基-4-(3-苯基丙基)呋喃-3-酮  2,2-二甲基丙基次基膦  (Z)-[1-(2-羟基-3-甲氧基丙基)咪唑-2...  1-[2-[1-(2-羟基-3-甲氧基丙基)咪唑-...