Online Database of Chemicals from Around the World

安丝菌素Pdm-3
[CAS# 77353-69-6]

供应商
CAS#: 77353-69-6
产品: 安丝菌素Pdm-3
暂时没有厂家供应该产品。
基本信息
产品名称 安丝菌素Pdm-3
英文名 Ansamitocin Pdm-3
别名 Antibiotic C 15003Pnd-3; Antibiotic C-15003 Pdm-3; Maytansine, 2'-De(Acetylmethylamino)-22-Demethyl-2'-Methyl-
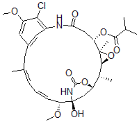
分子结构 CAS 登录号:77353-69-6, 安丝菌素Pdm-3
分子式 C31H41ClN2O9
分子量 621.13
CAS 登录号 77353-69-6
分子行输入简码 SMILES [C@]14(O[C@H]1[C@@H]([C@H]2OC(=O)N[C@](O)(C2)[C@H](OC)\C=C\C=C(CC3=CC(=C(Cl)C(=C3)OC)NC(=O)C[C@@H]4OC(=O)C(C)C)/C)C)C
国际化学标识码 InChI 1S/C31H41ClN2O9/c1-16(2)28(36)42-24-14-25(35)33-20-12-19(13-21(39-6)26(20)32)11-17(3)9-8-10-23(40-7)31(38)15-22(41-29(37)34-31)18(4)27-30(24,5)43-27/h8-10,12-13,16,18,22-24,27,38H,11,14-15H2,1-7H3,(H,33,35)(H,34,37)/b10-8+,17-9+/t18-,22+,23-,24+,27+,30+,31+/m1/s1
国际化学标识检索码 InChIKey BOYNDXJJKZMFBK-PRWXLFGZSA-N
市场分析报告
请浏览安丝菌素Pdm-3市场分析报告总目录
相关产品
抗生素 C 15003Pnd-4  13-羟基十三烷酸  三腺苷酰-(2'-3')-腺苷酰-胞苷酸  1,3-苯并氧硫杂环戊烷-2-酮  2-甲基-2-(对甲苯基)噻唑烷  2-[1-[(2R,4S,5R)-4-羟基-5-(...  N-[(2R,3R,4R,5R)-5,6-二羟基-...  4,6-二甲基-5-羟基-1,3-苯并氧硫杂环戊烷...  2-(对氯苯基)-2-甲基噻唑烷  2-[4-[(3-硝基吡啶-2-基)巯基氧基甲基]...  (2S,3R)-2-乙酰氨基-3-羟基-3-(1H...  五乙氧基膦烷  (6R,7R)-7-[[(2Z)-2-(2-氨基-...  (2S,3S,4S,5R,6S)-6-[5,7-二...  2-[(2E)-2-[6-[(4-氨基-6-氯-1...