Online Database of Chemicals from Around the World

3-氨基-N,N'-二[1-[4-(4-氨基-5-羟基-6-甲基四氢吡喃-2-基)氧基-2,5,12-三羟基-6,11-二氧代-3,4-二氢-1H-并四苯-2-基]乙亚基氨基]戊烷二酰胺三盐酸盐
[CAS# 77313-12-3]

供应商
CAS#: 77313-12-3
产品: 3-氨基-N,N'-二[1-[4-(4-氨基-5-羟基-6-甲基四氢吡喃-2-基)氧基-2,5,12-三羟基-6,11-二氧代-3,4-二氢-1H-并四苯-2-基]乙亚基氨基]戊烷二酰胺三盐酸盐
暂时没有厂家供应该产品。
基本信息
产品名称 3-氨基-N,N'-二[1-[4-(4-氨基-5-羟基-6-甲基四氢吡喃-2-基)氧基-2,5,12-三羟基-6,11-二氧代-3,4-二氢-1H-并四苯-2-基]乙亚基氨基]戊烷二酰胺三盐酸盐
英文名 3-Amino-N,N'-Bis[1-[4-(4-Amino-5-Hydroxy-6-Methyloxan-2-Yl)Oxy-2,5,12-Trihydroxy-6,11-Dioxo-3,4-Dihydro-1H-Tetracen-2-Yl]Ethylideneamino]Pentanediamide Trihydrochloride
别名 3-Amino-N,N'-Bis[1-[4-(4-Amino-5-Hydroxy-6-Methyl-Tetrahydropyran-2-Yl)Oxy-2,5,12-Trihydroxy-6,11-Dioxo-3,4-Dihydro-1H-Tetracen-2-Yl]Ethylideneamino]Pentanediamide Trihydrochloride; 3-Amino-N,N'-Bis[1-[4-[(4-Amino-5-Hydroxy-6-Methyl-2-Tetrahydropyranyl)Oxy]-2,5,12-Trihydroxy-6,11-Dioxo-3,4-Dihydro-1H-Tetracen-2-Yl]Ethylideneamino]Pentanediamide Trihydrochloride; 3-Amino-N,N'-Bis[1-[4-(4-Amino-5-Hydroxy-6-Methyl-Tetrahydropyran-2-Yl)Oxy-2,5,12-Trihydroxy-6,11-Diketo-3,4-Dihydro-1H-Tetracen-2-Yl]Ethylideneamino]Glutaramide Trihydrochloride
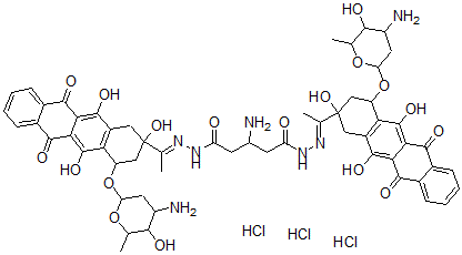
分子结构 CAS 登录号:77313-12-3, 3-氨基-N,N'-二[1-[4-(4-氨基-5-羟基-6-甲基四氢吡喃-2-基)氧基-2,5,12-三羟基-6,11-二氧代-3,4-二氢-1H-并四苯-2-基]乙亚基氨基]戊烷二酰胺三盐酸盐
分子式 C57H66Cl3N7O18
分子量 1243.54
CAS 登录号 77313-12-3
分子行输入简码 SMILES N(\N=C(\C2(O)CC(OC1OC(C(O)C(N)C1)C)C3=C(C2)C(=C5C(=C3O)C(=O)C4=CC=CC=C4C5=O)O)C)C(=O)CC(N)CC(=O)N\N=C(\C7(O)CC(OC6OC(C(O)C(N)C6)C)C8=C(C7)C(=C%10C(=C8O)C(=O)C9=CC=CC=C9C%10=O)O)C.[H+].[H+].[H+].[Cl-].[Cl-].[Cl-]
国际化学标识码 InChI 1S/C57H63N7O18.3ClH/c1-21-46(67)32(59)15-38(79-21)81-34-19-56(77,17-30-40(34)54(75)44-42(52(30)73)48(69)26-9-5-7-11-28(26)50(44)71)23(3)61-63-36(65)13-25(58)14-37(66)64-62-24(4)57(78)18-31-41(35(20-57)82-39-16-33(60)47(68)22(2)80-39)55(76)45-43(53(31)74)49(70)27-10-6-8-12-29(27)51(45)72;;;/h5-12,21-22,25,32-35,38-39,46-47,67-68,73-78H,13-20,58-60H2,1-4H3,(H,63,65)(H,64,66);3*1H/b61-23+,62-24+;;;
国际化学标识检索码 InChIKey FGUXPSZWORBDMC-CAIDVHOESA-N
市场分析报告
请浏览3-氨基-N,N'-二[1-[4-(4-氨基-5-羟基-6-甲基四氢吡喃-2-基)氧基-2,5,12-三羟基-6,11-二氧代-3,4-二氢-1H-并四苯-2-基]乙亚基氨基]戊烷二酰胺三盐酸盐市场分析报告总目录
相关产品
2-T-丁基-3-苯基氧氮杂环己烷  4-(5-氨基-2H-1,2,4-三唑-3-基)-...  八氟四氢呋喃  1,1,2,2,3,4,4,5-八氟环戊烷  3-[(2,4-二硝基苯基)氨基]丙酰肼  (2S)-2-(2-氯乙酰基)-5-氧代吡咯烷-1...  (5S)-5-(2-氯乙酰基)吡咯烷-2-酮  (4Z)-4-[(4-氯-2-甲基苯基)亚肼基]-...  3,5-二羟基苯甲酰肼  1,2,3-三氯环戊并-1,3-二烯  1,2,3,4-四氯环戊并-1,3-二烯  alpha,alpha-二(三氟甲基)-1-氮丙啶...  (偶氮二(二(碘-125I)-4,1-亚苯基))二...  1-羟基-2-萘甲酰肼  5,5-二乙基-2-硫代巴比妥酸