Online Database of Chemicals from Around the World

(23E,25E,27E,29E,31E,33E,35E)-22-(4-氨基-3,5-二羟基-6-甲基四氢吡喃-2-基)氧基-38-[7-(4-氨基苯基)-5-羟基-4-甲基-7-氧代庚烷-2-基]-10,14,18,20-四羟基-37-甲基-2,4,8,16-四氧代-1-氧杂环三十八碳-23,25,27,29,31,33,35-七烯-19-羧酸
[CAS# 77215-53-3]

供应商
CAS#: 77215-53-3
产品: (23E,25E,27E,29E,31E,33E,35E)-22-(4-氨基-3,5-二羟基-6-甲基四氢吡喃-2-基)氧基-38-[7-(4-氨基苯基)-5-羟基-4-甲基-7-氧代庚烷-2-基]-10,14,18,20-四羟基-37-甲基-2,4,8,16-四氧代-1-氧杂环三十八碳-23,25,27,29,31,33,35-七烯-19-羧酸
暂时没有厂家供应该产品。
基本信息
产品名称 (23E,25E,27E,29E,31E,33E,35E)-22-(4-氨基-3,5-二羟基-6-甲基四氢吡喃-2-基)氧基-38-[7-(4-氨基苯基)-5-羟基-4-甲基-7-氧代庚烷-2-基]-10,14,18,20-四羟基-37-甲基-2,4,8,16-四氧代-1-氧杂环三十八碳-23,25,27,29,31,33,35-七烯-19-羧酸
英文名 (23E,25E,27E,29E,31E,33E,35E)-22-(4-Amino-3,5-Dihydroxy-6-Methyloxan-2-Yl)Oxy-38-[7-(4-Aminophenyl)-5-Hydroxy-4-Methyl-7-Oxoheptan-2-Yl]-10,14,18,20-Tetrahydroxy-37-Methyl-2,4,8,16-Tetraoxo-1-Oxacyclooctatriaconta-23,25,27,29,31,33,35-Heptaene-19-Carboxylic Acid
别名 (23E,25E,27E,29E,31E,33E,35E)-22-(4-Amino-3,5-Dihydroxy-6-Methyl-Tetrahydropyran-2-Yl)Oxy-38-[6-(4-Aminophenyl)-4-Hydroxy-1,3-Dimethyl-6-Oxo-Hexyl]-10,14,18,20-Tetrahydroxy-37-Methyl-2,4,8,16-Tetraoxo-1-Oxacyclooctatriaconta-23,25,27,29,31,33,35-Heptaene-19-Carboxylic Acid; (23E,25E,27E,29E,31E,33E,35E)-22-[(4-Amino-3,5-Dihydroxy-6-Methyl-2-Tetrahydropyranyl)Oxy]-38-[6-(4-Aminophenyl)-4-Hydroxy-1,3-Dimethyl-6-Oxohexyl]-10,14,18,20-Tetrahydroxy-37-Methyl-2,4,8,16-Tetraoxo-1-Oxacyclooctatriaconta-23,25,27,29,31,33,35-Heptaene-19-Carboxylic Acid; (23E,25E,27E,29E,31E,33E,35E)-22-(4-Amino-3,5-Dihydroxy-6-Methyl-Tetrahydropyran-2-Yl)Oxy-38-[6-(4-Aminophenyl)-4-Hydroxy-6-Keto-1,3-Dimethyl-Hexyl]-10,14,18,20-Tetrahydroxy-2,4,8,16-Tetraketo-37-Methyl-1-Oxacyclooctatriaconta-23,25,27,29,31,33,35-Heptaene-19-Carboxylic Acid
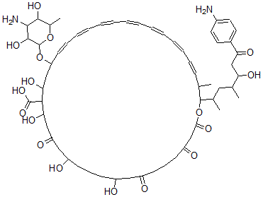
分子结构 CAS 登录号:77215-53-3, (23E,25E,27E,29E,31E,33E,35E)-22-(4-氨基-3,5-二羟基-6-甲基四氢吡喃-2-基)氧基-38-[7-(4-氨基苯基)-5-羟基-4-甲基-7-氧代庚烷-2-基]-10,14,18,20-四羟基-37-甲基-2,4,8,16-四氧代-1-氧杂环三十八碳-23,25,27,29,31,33,35-七烯-19-羧酸
分子式 C59H84N2O17
分子量 1093.32
CAS 登录号 77215-53-3
分子行输入简码 SMILES C3=C(C(=O)CC(O)C(CC(C2OC(=O)CC(=O)CCCC(=O)CC(O)CCCC(O)CC(=O)CC(O)C(C(O)CC(OC1OC(C(O)C(N)C1O)C)\C=C\C=C\C=C\C=C\C=C\C=C\C=C\C2C)C(=O)O)C)C)C=CC(=C3)N
国际化学标识码 InChI 1S/C59H84N2O17/c1-36-19-15-13-11-9-7-5-6-8-10-12-14-16-24-47(77-59-56(73)54(61)55(72)39(4)76-59)34-51(70)53(58(74)75)50(69)32-46(66)31-44(64)22-17-20-42(62)30-43(63)21-18-23-45(65)33-52(71)78-57(36)38(3)29-37(2)48(67)35-49(68)40-25-27-41(60)28-26-40/h5-16,19,24-28,36-39,42,44,47-48,50-51,53-57,59,62,64,67,69-70,72-73H,17-18,20-23,29-35,60-61H2,1-4H3,(H,74,75)/b6-5+,9-7+,10-8+,13-11+,14-12+,19-15+,24-16+
国际化学标识检索码 InChIKey WGGISROKTUVKFG-AJJHKJIKSA-N
市场分析报告
请浏览(23E,25E,27E,29E,31E,33E,35E)-22-(4-氨基-3,5-二羟基-6-甲基四氢吡喃-2-基)氧基-38-[7-(4-氨基苯基)-5-羟基-4-甲基-7-氧代庚烷-2-基]-10,14,18,20-四羟基-37-甲基-2,4,8,16-四氧代-1-氧杂环三十八碳-23,25,27,29,31,33,35-七烯-19-羧酸市场分析报告总目录
相关产品
4-氨基-1,2,5-硒二唑-3-甲酰胺  4-羟基-3-甲基丁酸  (Z)-7-[(1R,2R,3R,5S)-2-[(...  5-((1-苯基环己基)氨基)-1-戊醇草酸盐(1...  丁基-三甲基-铵碘化物  [(2R,3S,5R)-5-[5-[(E)-2-溴...  1,2,3-三氯-4,5,6-三甲氧基苯  多粘菌素E1  卡拉美芬  油烯基磷酸二氢酯  1,1',1''-(苯-1,3,5-三基三羰基)三...  5-[2-氯-6-氟-4-(三氟甲基)苯氧基]-N...  过氧单硫酸  2-(2,4-二碘苯氧基)乙酸  2-(2-溴-4-氯苯氧基)乙酸酯