基本信息
| 产品名称 |
D-山梨糖醇与铝氢氧化物,4-氨基苯甲酸乙酯和氢氧化镁的混合物 |
| 英文名 |
D-Glucitol, mixt. with aluminum hydroxide, ethyl 4-aminobenzoate and magnesium hydroxide |
| 别名 |
Aluminum; Magnesium; 4-Aminobenzoic Acid Ethyl Ester; (2R,3R,4R,5S)-Hexane-1,2,3,4,5,6-Hexol; Pentahydroxide; Almagel A Laxans |
|
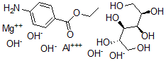
| 分子结构 |
 |
| 分子式 |
C15H30AlMgNO13 |
| 分子量 |
483.69 |
| CAS 登录号 |
76741-92-9 |
| 分子行输入简码 SMILES |
[OH-].[C@H](O)([C@H](O)[C@@H](O)CO)[C@H](O)CO.C(OC(=O)C1=CC=C(N)C=C1)C.[Al+3].[Mg++].[OH-].[OH-].[OH-].[OH-] |
| 国际化学标识码 InChI |
1S/C9H11NO2.C6H14O6.Al.Mg.5H2O/c1-2-12-9(11)7-3-5-8(10)6-4-7;7-1-3(9)5(11)6(12)4(10)2-8;;;;;;;/h3-6H,2,10H2,1H3;3-12H,1-2H2;;;5*1H2/q;;+3;+2;;;;;/p-5/t;3-,4+,5-,6-;;;;;;;/m.1......./s1 |
| 国际化学标识检索码 InChIKey |
FTMYGSYJDPXZOO-BCWYKUISSA-I |
|