Online Database of Chemicals from Around the World

{三[(3-乙基-3-氧杂环丁基)甲氧基]甲基}硅烷
[CAS# 76690-81-8]

供应商
CAS#: 76690-81-8
产品: {三[(3-乙基-3-氧杂环丁基)甲氧基]甲基}硅烷
暂时没有厂家供应该产品。
基本信息
产品名称 {三[(3-乙基-3-氧杂环丁基)甲氧基]甲基}硅烷
英文名 {Tris[(3-ethyl-3-oxetanyl)methoxy]methyl}silane
别名 tris[(3-ethyloxetan-3-yl)methoxy]methylsilane
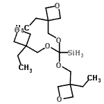
分子结构 CAS 登录号:76690-81-8, {三[(3-乙基-3-氧杂环丁基)甲氧基]甲基}硅烷
分子式 C19H36O6Si
分子量 388.57
CAS 登录号 76690-81-8
EINECS 登录号 278-524-6
分子行输入简码 SMILES [SiH3]C(OCC1(CC)COC1)(OCC2(CC)COC2)OCC3(CC)COC3
国际化学标识码 InChI 1S/C19H36O6Si/c1-4-16(7-20-8-16)13-23-19(26,24-14-17(5-2)9-21-10-17)25-15-18(6-3)11-22-12-18/h4-15H2,1-3,26H3
国际化学标识检索码 InChIKey NRSCXGMJHFTVEG-UHFFFAOYSA-N
物理化学性质
沸点 424.46°C at 760 mmHg (计算值)
闪点 210.506°C (计算值)
市场分析报告
请浏览{三[(3-乙基-3-氧杂环丁基)甲氧基]甲基}硅烷市场分析报告总目录
相关产品
2-溴-1-壬烯  1-(4-硝基苯基)-3-苯基硫脲  2-苄基-5-乙氧基-3,4-二氢-2H-吡咯  6-乙氧基-3-苯基-2,3,4,5-四氢吡啶  {[(2R)-2-铵基-3-(苄基硫基)丙酰]氨基...  溴(2-氟-4-联苯基)镁  N-[(苄氧基)羰基]-L-苯丙氨酸叔丁酯  6-甲基-1,4-恶噻烷-2-酮  (1S,5S)-5-异丙烯基-2-甲基-2-环己烯...  (1R,3S,4S)-3,4-二羟基环己烷羧酸  2-乙基-1,3-噻唑-4-甲酰胺  乙基2-乙基-1,3-噻唑-4-羧酸酯  6,6-二甲基-4-[(三甲基硅烷基)氧基]-2,...  3-(1,3-苯并噻唑-2-基)-N,N-二甲基-...  2-溴-1-(1-甲基环丙基)乙酮