Online Database of Chemicals from Around the World

5-甲氧基-8-色氨酰-生长抑素
[CAS# 76689-49-1]

供应商
CAS#: 76689-49-1
产品: 5-甲氧基-8-色氨酰-生长抑素
暂时没有厂家供应该产品。
基本信息
产品名称 5-甲氧基-8-色氨酰-生长抑素
英文名 5-Methoxy-8-Trp-Somatostatin
别名 8-(5-Methoxytryptophan)-Somatostatin; Somatostatin, 5-Methoxy-Trp(8)-; Somatostatin, 5-Methoxytryptophan(8)-
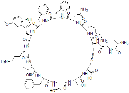
分子结构 CAS 登录号:76689-49-1, 5-甲氧基-8-色氨酰-生长抑素
分子式 C77H106N18O20S2
分子量 1667.91
CAS 登录号 76689-49-1
分子行输入简码 SMILES [C@@H](C3NC([C@@H](NC([C@@H](CC1=C[NH]C2=C1C=C(C=C2)OC)NC([C@@H](NC([C@@H](NC([C@@H](NC([C@H](CCCCN)NC([C@@H](NC(CNC([C@H](C)N)=O)=O)CSSC[C@H](NC([C@@H](NC(C(NC([C@@H](NC3=O)CC4=CC=CC=C4)=O)[C@H](O)C)=O)CO)=O)C(O)=O)=O)=O)CC(N)=O)=O)CC5=CC=CC=C5)=O)CC6=CC=CC=C6)=O)=O)CCCCN)=O)(O)C
国际化学标识码 InChI 1S/C77H106N18O20S2/c1-41(80)65(101)83-37-62(100)84-59-39-116-117-40-60(77(113)114)93-73(109)58(38-96)92-76(112)64(43(3)98)95-72(108)55(32-46-22-12-7-13-23-46)91-75(111)63(42(2)97)94-67(103)52(25-15-17-29-79)85-70(106)56(33-47-36-82-50-27-26-48(115-4)34-49(47)50)89-69(105)54(31-45-20-10-6-11-21-45)87-68(104)53(30-44-18-8-5-9-19-44)88-71(107)57(35-61(81)99)90-66(102)51(86-74(59)110)24-14-16-28-78/h5-13,18-23,26-27,34,36,41-43,51-60,63-64,82,96-98H,14-17,24-25,28-33,35,37-40,78-80H2,1-4H3,(H2,81,99)(H,83,101)(H,84,100)(H,85,106)(H,86,110)(H,87,104)(H,88,107)(H,89,105)(H,90,102)(H,91,111)(H,92,112)(H,93,109)(H,94,103)(H,95,108)(H,113,114)/t41-,42+,43+,51-,52-,53-,54-,55-,56+,57-,58-,59-,60-,63?,64?/m0/s1
国际化学标识检索码 InChIKey RQQXXBACFPVXJJ-QSQVPSQASA-N
物理化学性质
密度 1.431g/cm3 (计算值)
沸点 1977.513°C at 760 mmHg (计算值)
闪点 1149.758°C (计算值)
市场分析报告
请浏览5-甲氧基-8-色氨酰-生长抑素市场分析报告总目录
相关产品
(2aR,3R,5S,5aR,6R,7R,8S,8...  (E)-1-苯基-3-(4-苯基哌嗪-1-基)丁-...  (E)-1-苯基-3-[4-[3-(三氟甲基)苯基...  (E)-3-(4-氯苯基)-2-甲基-1-(4-甲...  (E)-3-(4-氯苯基)-N-[2-(4-甲氧基...  (E)-3-(4-氯苯基)-N-(3-氟苯基)-2...  (E)-3-(4-甲氧基苯基)-2-甲基-1-(4...  (E)-1-(4-羟基-4-苯基哌啶-1-基)-3...  (E)-2-甲基-1-吗啉-4-基-3-(4-硝基...  N-(2-氯苯基)十一碳-10-烯酰胺  N-(4-甲氧基苯基)十一碳-10-烯酰胺  N-(2-甲氧基苯基)十一碳-10-烯酰胺  N-(4-硝基苯基)十一碳-10-烯酰胺  N-(2-硝基苯基)十一碳-10-烯酰胺  (重氮基甲基)-苯