Online Database of Chemicals from Around the World

肉桂酰-辅酶 A
[CAS# 76109-04-1]

供应商
CAS#: 76109-04-1
产品: 肉桂酰-辅酶 A
暂时没有厂家供应该产品。
基本信息
产品名称 肉桂酰-辅酶 A
英文名 Cinnamoyl-coenzyme A
别名 S-[2-[3-[[(2R)-4-[[[(2R,3S,4R,5R)-5-(6-Aminopurin-9-Yl)-4-Hydroxy-3-Phosphonooxy-Tetrahydrofuran-2-Yl]Methoxy-Hydroxy-Phosphoryl]Oxy-Hydroxy-Phosphoryl]Oxy-2-Hydroxy-3,3-Dimethyl-Butanoyl]Amino]Propanoylamino]Ethyl] (E)-3-Phenylprop-2-Enethioate; (E)-3-Phenylprop-2-Enethioic Acid S-[2-[[3-[[(2R)-4-[[[(2R,3S,4R,5R)-5-(6-Amino-9-Purinyl)-4-Hydroxy-3-Phosphonooxy-2-Tetrahydrofuranyl]Methoxy-Hydroxyphosphoryl]Oxy-Hydroxyphosphoryl]Oxy-2-Hydroxy-3,3-Dimethyl-1-Oxobutyl]Amino]-1-Oxopropyl]Amino]Ethyl] Ester; (E)-3-Phenylprop-2-Enethioic Acid S-[2-[3-[[(2R)-4-[[[(2R,3S,4R,5R)-5-(6-Aminopurin-9-Yl)-4-Hydroxy-3-Phosphonooxy-Tetrahydrofuran-2-Yl]Methoxy-Hydroxy-Phosphoryl]Oxy-Hydroxy-Phosphoryl]Oxy-2-Hydroxy-3,3-Dimethyl-Butanoyl]Amino]Propanoylamino]Ethyl] Ester
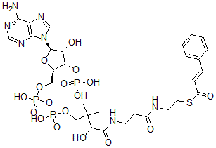
分子结构 CAS 登录号:76109-04-1, 肉桂酰-辅酶 A
分子式 C30H42N7O17P3S
分子量 897.68
CAS 登录号 76109-04-1
分子行输入简码 SMILES [C@H]1(O[C@@H]([C@@H](O[P](=O)(O)O)[C@H]1O)CO[P](O[P](OCC([C@@H](O)C(=O)NCCC(=O)NCCSC(=O)/C=C/C2=CC=CC=C2)(C)C)(=O)O)(=O)O)[N]3C4=C(N=C3)C(=NC=N4)N
国际化学标识码 InChI 1S/C30H42N7O17P3S/c1-30(2,25(41)28(42)33-11-10-20(38)32-12-13-58-21(39)9-8-18-6-4-3-5-7-18)15-51-57(48,49)54-56(46,47)50-14-19-24(53-55(43,44)45)23(40)29(52-19)37-17-36-22-26(31)34-16-35-27(22)37/h3-9,16-17,19,23-25,29,40-41H,10-15H2,1-2H3,(H,32,38)(H,33,42)(H,46,47)(H,48,49)(H2,31,34,35)(H2,43,44,45)/b9-8+/t19-,23-,24-,25+,29-/m1/s1
国际化学标识检索码 InChIKey JVNVHNHITFVWIX-KZKUDURGSA-N
物理化学性质
密度 1.761g/cm3 (计算值)
参考文献
(1) Laurence B. Davin, Michaël Jourdes, Ann M. Patten, Kye-Won Kim, Daniel G. Vassão and Norman G. Lewis. Dissection of lignin macromolecular configuration and assembly: Comparison to related biochemical processes in allyl/propenyl phenol and lignan biosynthesis, Nat. Prod. Rep., 2008, 25, 1015.
市场分析报告
请浏览肉桂酰-辅酶 A市场分析报告总目录
相关产品
[(1S,4R,6R)-1,5,5-三甲基-6-双...  N,N,N',N',5-五甲基-6-苯基菲啶-5-...  2-(4-羧基喹啉-2-基)喹啉-4-羧酸铜  吕宋肽菌素C  N-[2-[(2-氨基-2-氧代乙基)氨基]-2-...  次氮基三(亚甲基膦酸)三钠盐  顺式-1-氯-1-丁烯  1-二乙基氨基-2-氯丙烷  4-乙烯基环己烷-1-醇  3-[(2R,3S,4S,6R)-4,6-二羟基-...  偶氮甲基氧肟苯并噻唑  2-[(戊基氨基)甲基]苯酚  (7S)-1,2,3-三甲氧基-7-甲基氨基-10...  N-[(7S)-1,2,3-三甲氧基-9-氧代-1...  4-硝基-N-[(7S)-1,2,3,10-四甲氧...