Online Database of Chemicals from Around the World

(2,2'-L-Serine)-Gramicidin S
[CAS# 75993-96-3]

Suppliers
CAS#: 75993-96-3
Product: (2,2'-L-Serine)-Gramicidin S
No suppilers available for the product.
Identification
Name (2,2'-L-Serine)-Gramicidin S
Synonyms (Ser(2,2'))-Gs; Gramicidin S, 2-L-Serine-7-L-Serine-
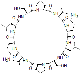
Molecular Structure CAS#: 75993-96-3, (2,2'-L-Serine)-Gramicidin S
Molecular Formula C48H84N12O12
Molecular Weight 1021.26
CAS Registry Number 75993-96-3
SMILES [C@@H]13N(C(=O)[C@@H](NC(=O)[C@@H](NC(=O)[C@@H](NC(=O)[C@@H](NC(=O)[C@H]2N(C(=O)[C@@H](NC(=O)[C@@H](NC(=O)[C@@H](NC(=O)[C@@H](NC1=O)C(C)C)CCCN)CC(C)C)CO)CCC2)C(C)C)CCCN)CC(C)C)CO)CCC3
InChI 1S/C48H84N12O12/c1-25(2)21-31-41(65)55-33(23-61)47(71)59-19-11-15-35(59)43(67)58-38(28(7)8)46(70)52-30(14-10-18-50)40(64)54-32(22-26(3)4)42(66)56-34(24-62)48(72)60-20-12-16-36(60)44(68)57-37(27(5)6)45(69)51-29(13-9-17-49)39(63)53-31/h25-38,61-62H,9-24,49-50H2,1-8H3,(H,51,69)(H,52,70)(H,53,63)(H,54,64)(H,55,65)(H,56,66)(H,57,68)(H,58,67)/t29-,30-,31-,32-,33-,34-,35-,36-,37-,38-/m0/s1
InChIKey HKFAPAJSPVVFOZ-YRYMBYOHSA-N
Properties
Density 1.278g/cm3 (Cal.)
Boiling point 1385.506°C at 760 mmHg (Cal.)
Flash point 791.725°C (Cal.)
Market Analysis Reports
List of Reports Available for (2,2'-L-Serine)-Gramicidin S
Related Products
Xenoclauxin  2-Bromo-1 1 3 -Trimethoxypropane  4-[3-(4-Methoxyphenyl)Propyl]Piperidine ...  4-[3-(3,4-Dichlorophenyl)Propyl]Piperidi...  4-(3-Phenylpropyl)Piperidine Hydrochlori...  5H-Naphtho[2,3-a]Carbazole-5,13(12H)-Dio...  2-[1-Oxido-4-[3-[2-(Trifluoromethyl)Phen...  1,1,1-Trichloro-2-Propanol  9-Tert-Butyl-9,10-(Dewar Anthracene)  1-Piperidin-1-Ylcyclohexane-1-Carbonitri...  Ethyl 5-Bromo-2-Chlorobenzoate  3-[(3R,6R,9S,16S,19R,22S,25S)-3,9-Bis(2-...  (8aS-(8aalpha,9abeta,10abeta,10balpha))-...  4-Amino-2-[[2-(2,4-Diaminobutanoylamino)...  5-(3-Dimethylaminopropylidene)benzofuro(...