Online Database of Chemicals from Around the World

3,6-二氨基-N-[(6E)-3-(2-氨基-3,4,5,6-四氢嘧啶-4-基)-6-[(氨基甲酰氨基)亚甲基]-9-[(3,6-二氨基己酰氨基)甲基]-12-(羟基甲基)-2,5,8,11,14-五氧代-1,4,7,10,13-五氮杂环十六烷-15-基]己酰胺
[CAS# 74240-43-0]

供应商
CAS#: 74240-43-0
产品: 3,6-二氨基-N-[(6E)-3-(2-氨基-3,4,5,6-四氢嘧啶-4-基)-6-[(氨基甲酰氨基)亚甲基]-9-[(3,6-二氨基己酰氨基)甲基]-12-(羟基甲基)-2,5,8,11,14-五氧代-1,4,7,10,13-五氮杂环十六烷-15-基]己酰胺
暂时没有厂家供应该产品。
基本信息
产品名称 3,6-二氨基-N-[(6E)-3-(2-氨基-3,4,5,6-四氢嘧啶-4-基)-6-[(氨基甲酰氨基)亚甲基]-9-[(3,6-二氨基己酰氨基)甲基]-12-(羟基甲基)-2,5,8,11,14-五氧代-1,4,7,10,13-五氮杂环十六烷-15-基]己酰胺
英文名 3,6-Diamino-N-[(6E)-3-(2-Amino-3,4,5,6-Tetrahydropyrimidin-4-Yl)-6-[(Carbamoylamino)Methylidene]-9-[(3,6-Diaminohexanoylamino)Methyl]-12-(Hydroxymethyl)-2,5,8,11,14-Pentaoxo-1,4,7,10,13-Pentazacyclohexadec-15-Yl]Hexanamide
别名 3,6-Diamino-N-[(6E)-3-(2-Amino-3,4,5,6-Tetrahydropyrimidin-4-Yl)-9-[(3,6-Diaminohexanoylamino)Methyl]-12-(Hydroxymethyl)-2,5,8,11,14-Pentaoxo-6-(Ureidomethylene)-1,4,7,10,13-Pentazacyclohexadec-15-Yl]Hexanamide; 3,6-Diamino-N-[(6E)-3-(2-Amino-3,4,5,6-Tetrahydropyrimidin-4-Yl)-9-[[(3,6-Diamino-1-Oxohexyl)Amino]Methyl]-12-(Hydroxymethyl)-2,5,8,11,14-Pentaoxo-6-(Ureidomethylene)-1,4,7,10,13-Pentazacyclohexadec-15-Yl]Hexanamide; 3,6-Diamino-N-[(6E)-3-(2-Amino-3,4,5,6-Tetrahydropyrimidin-4-Yl)-9-[(3,6-Diaminohexanoylamino)Methyl]-2,5,8,11,14-Pentaketo-12-Methylol-6-(Ureidomethylene)-1,4,7,10,13-Pentazacyclohexadec-15-Yl]Hexanamide
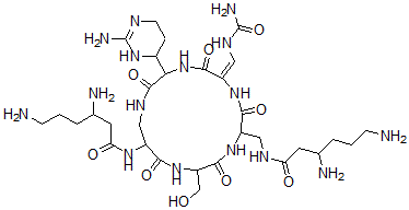
分子结构 CAS 登录号:74240-43-0, 3,6-二氨基-N-[(6E)-3-(2-氨基-3,4,5,6-四氢嘧啶-4-基)-6-[(氨基甲酰氨基)亚甲基]-9-[(3,6-二氨基己酰氨基)甲基]-12-(羟基甲基)-2,5,8,11,14-五氧代-1,4,7,10,13-五氮杂环十六烷-15-基]己酰胺
分子式 C31H56N16O9
分子量 796.89
CAS 登录号 74240-43-0
分子行输入简码 SMILES C(NC(=O)CC(N)CCCN)C1NC(=O)C(NC(=O)C(NC(=O)CC(N)CCCN)CNC(=O)C(NC(=O)\C(NC1=O)=C/NC(=O)N)C2NC(=NCC2)N)CO
国际化学标识码 InChI 1S/C31H56N16O9/c32-6-1-3-15(34)9-22(49)39-11-19-26(52)43-20(13-41-31(37)56)27(53)47-24(17-5-8-38-30(36)46-17)29(55)40-12-18(25(51)45-21(14-48)28(54)44-19)42-23(50)10-16(35)4-2-7-33/h13,15-19,21,24,48H,1-12,14,32-35H2,(H,39,49)(H,40,55)(H,42,50)(H,43,52)(H,44,54)(H,45,51)(H,47,53)(H3,36,38,46)(H3,37,41,56)/b20-13+
国际化学标识检索码 InChIKey NNHAOUAWUNAJJO-DEDYPNTBSA-N
物理化学性质
密度 1.674g/cm3 (计算值)
市场分析报告
请浏览3,6-二氨基-N-[(6E)-3-(2-氨基-3,4,5,6-四氢嘧啶-4-基)-6-[(氨基甲酰氨基)亚甲基]-9-[(3,6-二氨基己酰氨基)甲基]-12-(羟基甲基)-2,5,8,11,14-五氧代-1,4,7,10,13-五氮杂环十六烷-15-基]己酰胺市场分析报告总目录
相关产品
N-[(6E)-3-(2-氨基-3,4,5,6-四...  (2S)-2,3-二羟基-N-[(2R,3S,4S...  (2S,3S,4S,5R,6R)-6-(5-氟-2...  2-乙酰基-N-[(1-乙基吡咯烷-2-基)甲基]...  2-[4-(4-氯苯基)-2-(苯基甲基氨基)-1...  2-[4-(4-氯苯基)-2-[(4-羟基苯基)甲...  2-[4-(4-氯苯基)-2-[(2-羟基苯基)甲...  2-[4-(4-氯苯基)-2-[(4-甲氧基苯基)...  2-[4-(4-氯苯基)-2-[(4-二甲基氨基苯...  (1R-(1alpha,7(2S*,3R*),7a...  (9Z)-环十七碳-9-烯-1-酮  (2S)-2-氨基-N-[(2S,3S)-2-氨基...  2-(吡啶-3-基亚甲基)丙二腈  (NE)-N-(1-苊-3-基亚丙基)羟胺  1'-(3-乙基氨基丙基)螺[2,3-二氢-1H-...