Online Database of Chemicals from Around the World

1-[(4R,7S,10S,16S,19R)-19-Amino-7-(2-Amino-2-Oxoethyl)-10-(3-Amino-3-Oxopropyl)-13-[(2S)-Butan-2-Yl]-16-[(4-Hydroxyphenyl)Methyl]-6,9,12,15,18-Pentaoxo1,2-Dithia-5,8,11,14,17-Pentazacycloicosane-4-Carbonyl]-N-[(2S)-1-[(2-Dimethylamino-2-Oxoethyl)Amino]-4-Methyl-1-Oxopentan-2-Yl]Pyrrolidine-2-Carboxamide
[CAS# 73631-36-4]

Suppliers
CAS#: 73631-36-4
Product: 1-[(4R,7S,10S,16S,19R)-19-Amino-7-(2-Amino-2-Oxoethyl)-10-(3-Amino-3-Oxopropyl)-13-[(2S)-Butan-2-Yl]-16-[(4-Hydroxyphenyl)Methyl]-6,9,12,15,18-Pentaoxo1,2-Dithia-5,8,11,14,17-Pentazacycloicosane-4-Carbonyl]-N-[(2S)-1-[(2-Dimethylamino-2-Oxoethyl)Amino]-4-Methyl-1-Oxopentan-2-Yl]Pyrrolidine-2-Carboxamide
No suppilers available for the product.
Identification
Name 1-[(4R,7S,10S,16S,19R)-19-Amino-7-(2-Amino-2-Oxoethyl)-10-(3-Amino-3-Oxopropyl)-13-[(2S)-Butan-2-Yl]-16-[(4-Hydroxyphenyl)Methyl]-6,9,12,15,18-Pentaoxo1,2-Dithia-5,8,11,14,17-Pentazacycloicosane-4-Carbonyl]-N-[(2S)-1-[(2-Dimethylamino-2-Oxoethyl)Amino]-4-Methyl-1-Oxopentan-2-Yl]Pyrrolidine-2-Carboxamide
Synonyms 1-[(4R,7S,10S,16S,19R)-19-Amino-7-(2-Amino-2-Oxo-Ethyl)-10-(3-Amino-3-Oxo-Propyl)-16-[(4-Hydroxyphenyl)Methyl]-6,9,12,15,18-Pentaoxo-13-Sec-Butyl-1,2-Dithia-5,8,11,14,17-Pentazacycloicosane-4-Carbonyl]-N-[(1S)-1-[(2-Dimethylamino-2-Oxo-Ethyl)Carbamoyl]-3-Methyl-Butyl]Pyrrolidine-2-Carboxamide; 1-[[(4R,7S,10S,16S,19R)-19-Amino-7-(2-Amino-2-Oxoethyl)-10-(3-Amino-3-Oxopropyl)-16-[(4-Hydroxyphenyl)Methyl]-6,9,12,15,18-Pentaoxo-13-Sec-Butyl-1,2-Dithia-5,8,11,14,17-Pentazacycloicos-4-Yl]-Oxomethyl]-N-[(1S)-1-[[(2-Dimethylamino-2-Oxoethyl)Amino]-Oxomethyl]-3-Methylbutyl]-2-Pyrrolidinecarboxamide; 1-[(4R,7S,10S,16S,19R)-19-Amino-7-(2-Amino-2-Keto-Ethyl)-10-(3-Amino-3-Keto-Propyl)-16-(4-Hydroxybenzyl)-6,9,12,15,18-Pentaketo-13-Sec-Butyl-1,2-Dithia-5,8,11,14,17-Pentazacycloicosane-4-Carbonyl]-N-[(1S)-1-[(2-Dimethylamino-2-Keto-Ethyl)Carbamoyl]-3-Methyl-Butyl]Pyrrolidine-2-Carboxamide
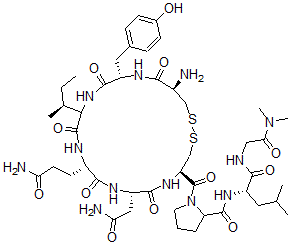
Molecular Structure CAS#: 73631-36-4, 1-[(4R,7S,10S,16S,19R)-19-Amino-7-(2-Amino-2-Oxoethyl)-10-(3-Amino-3-Oxopropyl)-13-[(2S)-Butan-2-Yl]-16-[(4-Hydroxyphenyl)Methyl]-6,9,12,15,18-Pentaoxo1,2-Dithia-5,8,11,14,17-Pentazacycloicosane-4-Carbonyl]-N-[(2S)-1-[(2-Dimethylamino-2-Oxoethyl)Amino]-4-Methyl-1-Oxopentan-2-Yl]Pyrrolidine-2-Carboxamide
Molecular Formula C45H70N12O12S2
Molecular Weight 1035.24
CAS Registry Number 73631-36-4
SMILES [C@@H]1(NC(=O)[C@@H](NC(=O)[C@@H](NC(=O)C(NC(=O)[C@@H](NC(=O)[C@@H](N)CSSC1)CC2=CC=C(O)C=C2)[C@H](CC)C)CCC(=O)N)CC(=O)N)C(=O)N3C(C(=O)N[C@H](C(=O)NCC(=O)N(C)C)CC(C)C)CCC3
InChI 1S/C45H70N12O12S2/c1-7-24(4)37-44(68)50-28(14-15-34(47)59)40(64)52-31(19-35(48)60)41(65)54-32(22-71-70-21-27(46)38(62)51-30(42(66)55-37)18-25-10-12-26(58)13-11-25)45(69)57-16-8-9-33(57)43(67)53-29(17-23(2)3)39(63)49-20-36(61)56(5)6/h10-13,23-24,27-33,37,58H,7-9,14-22,46H2,1-6H3,(H2,47,59)(H2,48,60)(H,49,63)(H,50,68)(H,51,62)(H,52,64)(H,53,67)(H,54,65)(H,55,66)/t24-,27-,28-,29-,30-,31-,32-,33?,37?/m0/s1
InChIKey JQKQPWXVFJENAN-DWFTWNDCSA-N
Properties
Density 1.248g/cm3 (Cal.)
Boiling point 1491.781°C at 760 mmHg (Cal.)
Flash point 855.998°C (Cal.)
Market Analysis Reports
List of Reports Available for 1-[(4R,7S,10S,16S,19R)-19-Amino-7-(2-Amino-2-Oxoethyl)-10-(3-Amino-3-Oxopropyl)-13-[(2S)-Butan-2-Yl]-16-[(4-Hydroxyphenyl)Methyl]-6,9,12,15,18-Pentaoxo1,2-Dithia-5,8,11,14,17-Pentazacycloicosane-4-Carbonyl]-N-[(2S)-1-[(2-Dimethylamino-2-Oxoethyl)Amino]-4-Methyl-1-Oxopentan-2-Yl]Pyrrolidine-2-Carboxamide
Related Products
(3R)-7-Methoxy-1,2-Didehydrocrinan-3-Ol  1-(1,2,8-Trihydroxyanthracen-9-Yl)Ethano...  1-[4-(2-Hydroxypropoxy)Naphthalen-1-Yl]-...  Copper Disodium 2-[2-[Bis(2-Oxido-2-Oxoe...  Disodium manganese ethylenediaminetetraa...  4-(Chloromethyl)-2,2-Dimethyl-1,3,2-Diox...  4-(Benzoylamino)Benzoic Acid Ethyl Ester  2-Chloro-3-Methyl-But-2-Enal  1-Tert-Butyl-4-Ethylbenzene  4-Chloro-alpha-Phenylbenzyl(Methyl) Ethe...  Ethyl (2Z)-2-[(3-Nitrophenyl)Hydrazinyli...  7,8-Dimethyl-10-(2,3,4,5-Tetrahydroxypen...  (2S)-2-Amino-3-Methylidenebutanedioic Ac...  13,14-Diazatricyclo[8.2.1.14,7]Tetradeca...  2,2-Dichloropentan-3-One