Online Database of Chemicals from Around the World

[(2R,3R,4S,5R,6S)-3,4,5-三羟基-6-[(2R,3R,4R,5R)-1,2,4,5-四羟基-6-氧代己烷-3-基]氧基四氢吡喃-2-基]甲基磷酸二氢酯
[CAS# 72929-47-6]

供应商
CAS#: 72929-47-6
产品: [(2R,3R,4S,5R,6S)-3,4,5-三羟基-6-[(2R,3R,4R,5R)-1,2,4,5-四羟基-6-氧代己烷-3-基]氧基四氢吡喃-2-基]甲基磷酸二氢酯
暂时没有厂家供应该产品。
基本信息
产品名称 [(2R,3R,4S,5R,6S)-3,4,5-三羟基-6-[(2R,3R,4R,5R)-1,2,4,5-四羟基-6-氧代己烷-3-基]氧基四氢吡喃-2-基]甲基磷酸二氢酯
英文名 [(2R,3R,4S,5R,6S)-3,4,5-Trihydroxy-6-[(2R,3R,4R,5R)-1,2,4,5-Tetrahydroxy-6-Oxohexan-3-Yl]Oxyoxan-2-Yl]Methyl Dihydrogen Phosphate
别名 [(2R,3R,4S,5R,6S)-6-[(1R,2R,3R)-1-[(1R)-1,2-Dihydroxyethyl]-2,3-Dihydroxy-4-Oxo-Butoxy]-3,4,5-Trihydroxy-Tetrahydropyran-2-Yl]Methyl Dihydrogen Phosphate; [(2R,3R,4S,5R,6S)-6-[(1R,2R,3R)-1-[(1R)-1,2-Dihydroxyethyl]-2,3-Dihydroxy-4-Oxobutoxy]-3,4,5-Trihydroxy-2-Tetrahydropyranyl]Methyl Dihydrogen Phosphate; [(2R,3R,4S,5R,6S)-6-[(1R,2R,3R)-1-[(1R)-1,2-Dihydroxyethyl]-2,3-Dihydroxy-4-Keto-Butoxy]-3,4,5-Trihydroxy-Tetrahydropyran-2-Yl]Methyl Dihydrogen Phosphate
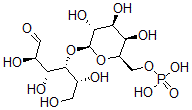
分子结构 CAS 登录号:72929-47-6, [(2R,3R,4S,5R,6S)-3,4,5-三羟基-6-[(2R,3R,4R,5R)-1,2,4,5-四羟基-6-氧代己烷-3-基]氧基四氢吡喃-2-基]甲基磷酸二氢酯
分子式 C12H23O14P
分子量 422.28
CAS 登录号 72929-47-6
分子行输入简码 SMILES [C@@H](C=O)(O)[C@@H](O)[C@H](O[C@H]1[C@H](O)[C@@H](O)[C@@H](O)[C@H](O1)CO[P](=O)(O)O)[C@H](O)CO
国际化学标识码 InChI 1S/C12H23O14P/c13-1-4(15)7(17)11(5(16)2-14)26-12-10(20)9(19)8(18)6(25-12)3-24-27(21,22)23/h1,4-12,14-20H,2-3H2,(H2,21,22,23)/t4-,5+,6+,7+,8-,9-,10+,11+,12-/m0/s1
国际化学标识检索码 InChIKey QMNITDNTKXPFOP-JVCRWLNRSA-N
物理化学性质
密度 1.823g/cm3 (计算值)
沸点 883.874°C at 760 mmHg (计算值)
闪点 488.35°C (计算值)
市场分析报告
请浏览[(2R,3R,4S,5R,6S)-3,4,5-三羟基-6-[(2R,3R,4R,5R)-1,2,4,5-四羟基-6-氧代己烷-3-基]氧基四氢吡喃-2-基]甲基磷酸二氢酯市场分析报告总目录
相关产品
8-氯-6-(2-氯苯基)-1-[(4-氯苯基)巯...  N-[[5-(二甲基氨基)-1-萘基]磺酰基]-L...  (4aR,6aR,6aS,6bR,8aR,10R,...  1,1-二乙氧基十三烷  1-[(2E)-1-吲哚-1-基-2-(苯基亚甲基...  1-苯基乙基2-氯乙酸酯  [(2S)-2-癸-9-烯氧基-2-甲氧基乙基]苯  甲基2-(1,3-苯并二氧戊环-5-基亚甲基氨基)...  (E)-5-甲基庚-4-烯-2,3,6-三酮  (6E)-4-氨基-3-(4-氨基苯基)偶氮-6-...  (2E)-2-(2-羟基-2-甲基丙亚基)环己-3...  4,4'-二((5-((5-(氨基磺酰基)-2-羟...  2-十二烷氧基乙基辛酸酯  丙-2-烯基壬-2-酸酯  6-氨基-5-(2-氯-4-硝基苯基)偶氮-2-[...