Online Database of Chemicals from Around the World

(Z,2R)-2-hydroxy-N-[(2S,4E,8E)-3-hydroxy-9-methyl-1-[(2R,3R,4S,5S,6R)-3,4,5-Trihydroxy-6-(hydroxymethyl)oxan-2-yl]oxy-octadeca-4,8-dien-2-yl]octadec-3-enamide
[CAS# 70711-60-3]

Suppliers
CAS#: 70711-60-3
Product: (Z,2R)-2-hydroxy-N-[(2S,4E,8E)-3-hydroxy-9-methyl-1-[(2R,3R,4S,5S,6R)-3,4,5-Trihydroxy-6-(hydroxymethyl)oxan-2-yl]oxy-octadeca-4,8-dien-2-yl]octadec-3-enamide
No suppilers available for the product.
Identification
Name (Z,2R)-2-hydroxy-N-[(2S,4E,8E)-3-hydroxy-9-methyl-1-[(2R,3R,4S,5S,6R)-3,4,5-Trihydroxy-6-(hydroxymethyl)oxan-2-yl]oxy-octadeca-4,8-dien-2-yl]octadec-3-enamide
Synonyms (Z,2R)-2-Hydroxy-N-[(1S,3E,7E)-2-Hydroxy-8-Methyl-1-[[(2R,3R,4S,5S,6R)-3,4,5-Trihydroxy-6-(Hydroxymethyl)Tetrahydropyran-2-Yl]Oxymethyl]Heptadeca-3,7-Dienyl]Octadec-3-Enamide; (Z,2R)-2-Hydroxy-N-[(1S,3E,7E)-2-Hydroxy-8-Methyl-1-[[(2R,3R,4S,5S,6R)-3,4,5-Trihydroxy-6-(Hydroxymethyl)-2-Tetrahydropyranyl]Oxymethyl]Heptadeca-3,7-Dienyl]Octadec-3-Enamide; (Z,2R)-2-Hydroxy-N-[(1S,3E,7E)-2-Hydroxy-8-Methyl-1-[[(2R,3R,4S,5S,6R)-3,4,5-Trihydroxy-6-Methylol-Tetrahydropyran-2-Yl]Oxymethyl]Heptadeca-3,7-Dienyl]Octadec-3-Enamide
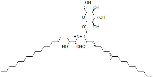
Molecular Structure CAS#: 70711-60-3, (Z,2R)-2-hydroxy-N-[(2S,4E,8E)-3-hydroxy-9-methyl-1-[(2R,3R,4S,5S,6R)-3,4,5-Trihydroxy-6-(hydroxymethyl)oxan-2-yl]oxy-octadeca-4,8-dien-2-yl]octadec-3-enamide
Molecular Formula C43H79NO9
Molecular Weight 754.10
CAS Registry Number 70711-60-3
SMILES [C@H]1(O)[C@@H](O[C@@H]([C@@H](O)[C@@H]1O)CO)OC[C@H](NC(=O)[C@H](O)\C=C/CCCCCCCCCCCCCC)C(O)\C=C\CC\C=C(\CCCCCCCCC)C
InChI 1S/C43H79NO9/c1-4-6-8-10-12-13-14-15-16-17-18-20-22-26-31-37(47)42(51)44-35(33-52-43-41(50)40(49)39(48)38(32-45)53-43)36(46)30-27-23-25-29-34(3)28-24-21-19-11-9-7-5-2/h26-27,29-31,35-41,43,45-50H,4-25,28,32-33H2,1-3H3,(H,44,51)/b30-27+,31-26-,34-29+/t35-,36?,37+,38+,39+,40-,41+,43+/m0/s1
InChIKey QSPMXWIFLDIBGD-CDZFXCMYSA-N
Properties
Density 1.088g/cm3 (Cal.)
Boiling point 891.092°C at 760 mmHg (Cal.)
Flash point 492.715°C (Cal.)
Market Analysis Reports
List of Reports Available for (Z,2R)-2-hydroxy-N-[(2S,4E,8E)-3-hydroxy-9-methyl-1-[(2R,3R,4S,5S,6R)-3,4,5-Trihydroxy-6-(hydroxymethyl)oxan-2-yl]oxy-octadeca-4,8-dien-2-yl]octadec-3-enamide
Related Products
Tsukushinamine A  1-(Diphenylmethyl)-4-(2-propenyl)piperaz...  Samarium selenide  Copper zirconate  6-(Chlorosulphonyl)-2-hydroxy-1-naphthoi...  6-Amino-1-naphthol-3-sulfonic acid pheny...  2-Naphthylamine-3,6,8-trisulfonic acid d...  3-Hydroxy-4-((2-methoxy-4-nitrophenyl)az...  Sodium 7-[(5-chloro-2,6-difluoro-4-pyrim...  [1-(Butoxymethyl)-2-[ethyl-(3-methylphen...  1,5-Bis((4-ethoxyphenyl)amino)-9,10-anth...  Bis(1,1-dimethyl-2-phenylethyl) ethanedi...  1,4-Bis((4-cyclohexylphenyl)amino)-9,10-...  N-(1-Oxo-2-propenyl)aspartic acid disodi...  N-(1-Oxoallyl)aspartic acid