Online Database of Chemicals from Around the World

3-羟基-3-乙基戊二酰-辅酶 A
[CAS# 69925-08-2]

供应商
CAS#: 69925-08-2
产品: 3-羟基-3-乙基戊二酰-辅酶 A
暂时没有厂家供应该产品。
基本信息
产品名称 3-羟基-3-乙基戊二酰-辅酶 A
英文名 3-Hydroxy-3-Ethylglutaryl-Coenzyme A
别名 5-[2-[3-[[4-[[[5-(6-Aminopurin-9-Yl)-4-Hydroxy-3-Phosphonooxy-Tetrahydrofuran-2-Yl]Methoxy-Hydroxy-Phosphoryl]Oxy-Hydroxy-Phosphoryl]Oxy-2-Hydroxy-3,3-Dimethyl-Butanoyl]Amino]Propanoylamino]Ethylsulfanyl]-3-Ethyl-3-Hydroxy-5-Oxo-Pentanoic Acid; 5-[2-[[3-[[4-[[[5-(6-Amino-9-Purinyl)-4-Hydroxy-3-Phosphonooxy-2-Tetrahydrofuranyl]Methoxy-Hydroxyphosphoryl]Oxy-Hydroxyphosphoryl]Oxy-2-Hydroxy-3,3-Dimethyl-1-Oxobutyl]Amino]-1-Oxopropyl]Amino]Ethylthio]-3-Ethyl-3-Hydroxy-5-Oxopentanoic Acid; 5-[2-[3-[[4-[[[5-(6-Aminopurin-9-Yl)-4-Hydroxy-3-Phosphonooxy-Tetrahydrofuran-2-Yl]Methoxy-Hydroxy-Phosphoryl]Oxy-Hydroxy-Phosphoryl]Oxy-2-Hydroxy-3,3-Dimethyl-Butanoyl]Amino]Propanoylamino]Ethylthio]-3-Ethyl-3-Hydroxy-5-Keto-Valeric Acid
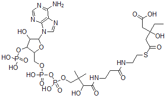
分子结构 CAS 登录号:69925-08-2, 3-羟基-3-乙基戊二酰-辅酶 A
分子式 C28H46N7O20P3S
分子量 925.69
CAS 登录号 69925-08-2
分子行输入简码 SMILES C1=NC2=C(C(=N1)N)N=C[N]2C3C(O)C(O[P](O)(O)=O)C(O3)CO[P](O[P](OCC(C)(C)C(C(NCCC(NCCSC(CC(CC(=O)O)(CC)O)=O)=O)=O)O)(=O)O)(=O)O
国际化学标识码 InChI 1S/C28H46N7O20P3S/c1-4-28(43,9-17(37)38)10-18(39)59-8-7-30-16(36)5-6-31-25(42)22(41)27(2,3)12-52-58(49,50)55-57(47,48)51-11-15-21(54-56(44,45)46)20(40)26(53-15)35-14-34-19-23(29)32-13-33-24(19)35/h13-15,20-22,26,40-41,43H,4-12H2,1-3H3,(H,30,36)(H,31,42)(H,37,38)(H,47,48)(H,49,50)(H2,29,32,33)(H2,44,45,46)
国际化学标识检索码 InChIKey JZLVGSUYGVLVTI-UHFFFAOYSA-N
物理化学性质
密度 1.843g/cm3 (计算值)
市场分析报告
请浏览3-羟基-3-乙基戊二酰-辅酶 A市场分析报告总目录
相关产品
4-[2-[[2-羟基-3-(1H-吲哚-4-基氧...  9-(3,4-二羟基丁基)腺嘌呤  3'''-O-(4-O-乙酰基-3-C-甲基-2,...  2,2'-氧基二[氯丙烷)  2-[2-(乙酰基苯基氨基)乙烯基]-3-乙基苯并...  4,4-联苯巴豆酸 2-(二乙基氨基)乙基酯盐酸盐  3-[4-[[5-[[4-氟-6-[(O-甲苯基)...  3-[[5-[[4-[(2-氰基乙基)乙基氨基]苯...  3,7-二甲基-6-辛烯基乙基醚  丁基辛基镁  癸二酸与 1,2-乙二胺, (Z,Z)-9,12-...  (Z,Z)-9,12-十八碳二烯酸二聚体与 5-氨...  己二酸与 5-氨基-1,3,3-三甲基环己烷甲胺的...  鸟苷二磷酸酯-4-脱氧甘露糖  四羧基酞菁钴