基本信息
| 产品名称 |
3,3',3'',3'''-(3,8,13,18-四甲基-2,7,12,17-卟啉四基)四丙酸二盐酸盐 |
| 英文名 |
3,3',3'',3'''-(3,8,13,18-Tetramethyl-2,7,12,17-porphyrintetrayl)tetrapropanoic acid dihydrochloride |
| 别名 |
3,8,13,18-Tetramethyl-21H,23H-porphine-2,7,12,17-tetrapropionic acid dihydrochloride; Coproporphyrin I dihydrochloride; COPROPORPHYRINIDIHYDROCHLORIDE |
|
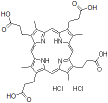
| 分子结构 |
 |
| 分子式 |
C36H40Cl2N4O8 |
| 分子量 |
727.63 |
| CAS 登录号 |
69477-27-6 |
| 分子行输入简码 SMILES |
Cl.Cl.OC(=O)CC\C2=C(/C)c1cc5nc(cc4nc(cc3nc(cc2n1)c(C)c3CCC(O)=O)C(\C)=C4\CCC(O)=O)c(C)c5CCC(O)=O |
| 国际化学标识码 InChI |
1S/C36H38N4O8.2ClH/c1-17-21(5-9-33(41)42)29-14-26-19(3)23(7-11-35(45)46)31(39-26)16-28-20(4)24(8-12-36(47)48)32(40-28)15-27-18(2)22(6-10-34(43)44)30(38-27)13-25(17)37-29;;/h13-16,37,40H,5-12H2,1-4H3,(H,41,42)(H,43,44)(H,45,46)(H,47,48);2*1H/b25-13-,26-14-,27-15-,28-16-,29-14-,30-13-,31-16-,32-15-;; |
| 国际化学标识检索码 InChIKey |
XROPZSRTTZKNQB-ARSPAUKVSA-N |
|