Online Database of Chemicals from Around the World

1,6-二氯-1,6-二脱氧果糖
[CAS# 69414-08-0]

供应商
CAS#: 69414-08-0
产品: 1,6-二氯-1,6-二脱氧果糖
暂时没有厂家供应该产品。
基本信息
产品名称 1,6-二氯-1,6-二脱氧果糖
英文名 1,6-Dichloro-1,6-Dideoxyfructose
别名 (3S,4S,5S)-1,6-Dichloro-3,4,5-Trihydroxy-Hexan-2-One; 1,6-Dichloro-1,6-Dideoxyfructose; 1,6-Dideoxy-1,6-Dichlorofructose
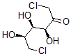
分子结构 CAS 登录号:69414-08-0, 1,6-二氯-1,6-二脱氧果糖
分子式 C6H10Cl2O4
分子量 217.05
CAS 登录号 69414-08-0
分子行输入简码 SMILES [C@@H](C(CCl)=O)([C@@H]([C@@H](CCl)O)O)O
国际化学标识码 InChI 1S/C6H10Cl2O4/c7-1-3(9)5(11)6(12)4(10)2-8/h3,5-6,9,11-12H,1-2H2/t3-,5-,6-/m1/s1
国际化学标识检索码 InChIKey MLQSSVPAOPJIFW-UYFOZJQFSA-N
市场分析报告
请浏览1,6-二氯-1,6-二脱氧果糖市场分析报告总目录
相关产品
2-甲基戊酰胺  1-吖丁啶丙酸丁酯  乙二醇二(氯乙酸)酯  2-[2,2-二-(1H-吲哚-3-基)-乙基]-...  四氟环氧乙烷  N-甲基-4-(4-硝基苯基)丁烷-1-胺草酸盐  七溴-9H-芴  肉豆蔻基羟基乙基咪唑啉  6-甲基-2,4(1H,3H)-嘧啶二酮与 4,4...  9-(二甲氧基磷酰)-9H-芴-1-羧酸  6alpha-巴豆酰氧基查杷任酮  O,O'-二乙酰基血卟啉  2,3-二氢-1-羟基-1H-磷杂环戊二烯 1-氧...  1-苯基尿唑  普立非酮