Online Database of Chemicals from Around the World

4-顺式-癸烯酰基-辅酶 A
[CAS# 69281-30-7]

供应商
CAS#: 69281-30-7
产品: 4-顺式-癸烯酰基-辅酶 A
暂时没有厂家供应该产品。
基本信息
产品名称 4-顺式-癸烯酰基-辅酶 A
英文名 4-cis-Decenoyl-Coenzyme A
别名 S-[2-[3-[[(2R)-4-[[[(2R,3S,4R,5R)-5-(6-Aminopurin-9-Yl)-4-Hydroxy-3-Phosphonooxy-Tetrahydrofuran-2-Yl]Methoxy-Hydroxy-Phosphoryl]Oxy-Hydroxy-Phosphoryl]Oxy-2-Hydroxy-3,3-Dimethyl-Butanoyl]Amino]Propanoylamino]Ethyl] (E)-Dec-4-Enethioate; (E)-Dec-4-Enethioic Acid S-[2-[[3-[[(2R)-4-[[[(2R,3S,4R,5R)-5-(6-Amino-9-Purinyl)-4-Hydroxy-3-Phosphonooxy-2-Tetrahydrofuranyl]Methoxy-Hydroxyphosphoryl]Oxy-Hydroxyphosphoryl]Oxy-2-Hydroxy-3,3-Dimethyl-1-Oxobutyl]Amino]-1-Oxopropyl]Amino]Ethyl] Ester; (E)-Dec-4-Enethioic Acid S-[2-[3-[[(2R)-4-[[[(2R,3S,4R,5R)-5-(6-Aminopurin-9-Yl)-4-Hydroxy-3-Phosphonooxy-Tetrahydrofuran-2-Yl]Methoxy-Hydroxy-Phosphoryl]Oxy-Hydroxy-Phosphoryl]Oxy-2-Hydroxy-3,3-Dimethyl-Butanoyl]Amino]Propanoylamino]Ethyl] Ester
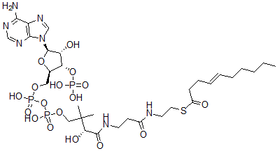
分子结构 CAS 登录号:69281-30-7, 4-顺式-癸烯酰基-辅酶 A
分子式 C31H52N7O17P3S
分子量 919.77
CAS 登录号 69281-30-7
分子行输入简码 SMILES [C@H]1(O[C@@H]([C@@H](O[P](=O)(O)O)[C@H]1O)CO[P](O[P](OCC([C@@H](O)C(=O)NCCC(=O)NCCSC(=O)CC\C=C\CCCCC)(C)C)(=O)O)(=O)O)[N]2C3=C(N=C2)C(=NC=N3)N
国际化学标识码 InChI 1S/C31H52N7O17P3S/c1-4-5-6-7-8-9-10-11-22(40)59-15-14-33-21(39)12-13-34-29(43)26(42)31(2,3)17-52-58(49,50)55-57(47,48)51-16-20-25(54-56(44,45)46)24(41)30(53-20)38-19-37-23-27(32)35-18-36-28(23)38/h8-9,18-20,24-26,30,41-42H,4-7,10-17H2,1-3H3,(H,33,39)(H,34,43)(H,47,48)(H,49,50)(H2,32,35,36)(H2,44,45,46)/b9-8+/t20-,24-,25-,26+,30-/m1/s1
国际化学标识检索码 InChIKey QTOYQSMKQWCWOX-CCVVLBLYSA-N
物理化学性质
密度 1.662g/cm3 (计算值)
市场分析报告
请浏览4-顺式-癸烯酰基-辅酶 A市场分析报告总目录
相关产品
鸟苷 5'-磷酰咪唑  Rubradiric Acid A  Rubranitrose  异氰酸-锗烷  三甲氧基[3-(硫杂环丙基甲氧基)丙基]硅烷  1,2,3,4,5-五氯-5-(三氯甲基)环戊并-...  2,2'-二(4,5-二甲基咪唑)  二乙基甲基丙基溴化铵  4-(二乙基氨基甲基)-2,5-二甲基苯酚  四氯邻苯二甲酸二正丙酯  蜚蠊酮 A  (3beta,5alpha,25R)-螺甾烷-3-...  2-[[8-[(4-氨基苯甲酰)氨基]-1-羟基-...  4,4'-[偶氮二(4,1-亚苯基偶氮)]二[N-...  4,4'-[偶氮二(4,1-亚苯基偶氮)]二[N-...