Online Database of Chemicals from Around the World

2,2'-{[(2Z)-1,4-Dioxo-2-butene-1,4-diyl]bis(oxy)}bis(2-octyl-1,3,2-dioxastannepine-4,7-dione)
[CAS# 68420-14-4]

Suppliers
CAS#: 68420-14-4
Product: 2,2'-{[(2Z)-1,4-Dioxo-2-butene-1,4-diyl]bis(oxy)}bis(2-octyl-1,3,2-dioxastannepine-4,7-dione)
No suppilers available for the product.
Identification
Name 2,2'-{[(2Z)-1,4-Dioxo-2-butene-1,4-diyl]bis(oxy)}bis(2-octyl-1,3,2-dioxastannepine-4,7-dione)
Synonyms (Z)-2,2'-[(1,4-dioxobut-2-ene-1,4-diyl)bis(oxy)]bis[2-octyl-1,3,2-dioxastannepin-4,7-dione]
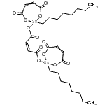
Molecular Structure CAS#: 68420-14-4, 2,2'-{[(2Z)-1,4-Dioxo-2-butene-1,4-diyl]bis(oxy)}bis(2-octyl-1,3,2-dioxastannepine-4,7-dione)
Molecular Formula C28H40O12Sn2
Molecular Weight 806.03
CAS Registry Number 68420-14-4
EINECS 270-268-3
SMILES O=C1O[Sn](CCCCCCCC)(OC(=O)C=C1)OC(=O)/C=C\C(=O)O[Sn]2(OC(=O)C=CC(=O)O2)CCCCCCCC
InChI 1S/2C8H17.3C4H4O4.2Sn/c2*1-3-5-7-8-6-4-2;3*5-3(6)1-2-4(7)8;;/h2*1,3-8H2,2H3;3*1-2H,(H,5,6)(H,7,8);;/q;;;;;2*+3/p-6/b;;2-1-;;;;
InChIKey URJITOLRUFWZLN-TZMYYTKQSA-H
Properties
Boiling point 634.147°C at 760 mmHg (Cal.)
Flash point 337.32°C (Cal.)
Market Analysis Reports
List of Reports Available for 2,2'-{[(2Z)-1,4-Dioxo-2-butene-1,4-diyl]bis(oxy)}bis(2-octyl-1,3,2-dioxastannepine-4,7-dione)
Related Products
4-[2-Hydroxy-1-(isopropylamino)-2-propan...  1-Methyl-2-(methylsulfanyl)-1,5-dihydro-...  5,5-Diethyl-2,6-dioxohexahydro-4-pyrimid...  4-Hydroxy-N-methyl-1-piperidinecarboximi...  N-Ethyl-1-pyrrolidinecarboximidohydrazid...  Methyl 1-methyl-5-({4-[4-(trifluoromethy...  3-Acetyl-4-methylbenzonitrile  4,6-Dichloro-2-pyrimidinecarbaldehyde  (1R,3S)-3-Ethoxycyclopentanamine  3-(Tetrahydro-3-furanyl)-1-propanamine  2-Methyl-2-propanyl [2-(2-methoxyethoxy)...  5-Fluoro-2-methylimidazo[1,2-a]pyridine  (2S,3S,7S,7aS)-3-Hydroxy-7-methyl-2-[(1E...  (2S,3R,7S,7aS)-3-Hydroxy-7-methyl-2-[(1E...  6-Oxabicyclo[3.1.0]hexane-2,4-diyl diace...