基本信息
| 产品名称 |
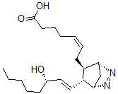
7-(6-(3-羟基-1-辛烯基)-2,3-二氮杂双环(2.2.1)庚-2-烯-5-基)-5-庚烯酸 |
| 英文名 |
7-(6-(3-Hydroxy-1-octenyl)-2,3-diazabicyclo(2.2.1)hept-2-en-5-yl)-5-Heptenoic acid |
| 别名 |
(15S)-Hydroxy-9Alpha,11Alpha-Azoprosta-5Z,13E-Dienoic Acid; (5Z,9Alpha,11Alpha,13E,15S)-9,11-Azo-15-Hydroxyprosta-5,13-Dienoic Acid; 15-Hydroxy-9,11-Azoprostanoid |
|
| 分子结构 |
 |
| 分子式 |
C20H32N2O3 |
| 分子量 |
348.48 |
| CAS 登录号 |
67901-99-9 |
| 分子行输入简码 SMILES |
[C@@H]12N=N[C@@H]([C@@H]([C@H]1\C=C\[C@@H](O)CCCCC)C\C=C/CCCC(=O)O)C2 |
| 国际化学标识码 InChI |
1S/C20H32N2O3/c1-2-3-6-9-15(23)12-13-17-16(18-14-19(17)22-21-18)10-7-4-5-8-11-20(24)25/h4,7,12-13,15-19,23H,2-3,5-6,8-11,14H2,1H3,(H,24,25)/b7-4-,13-12+/t15-,16+,17+,18+,19-/m0/s1 |
| 国际化学标识检索码 InChIKey |
XBVVXCYNLAIXKD-WTKFZEAQSA-N |
|