Online Database of Chemicals from Around the World

螺旋霉素与 4,4'-亚甲基二(3-羟基-2-萘甲酸)化合物
[CAS# 67724-08-7]

供应商
BOC Sciences 美国 询价快递  
+1 (631) 485-4226
info@bocsci.com
Skype 聊天
化学品供销商
chemBlink 集群供应商(2012 年起)
Biosynth AG. 瑞士 询价快递  
+41 (71) 858-2020
welcome@biosynth.ch
化学品生产商
Glentham Life Sciences 英国 询价快递  
+44 (2033) 978-798
info@glenthamls.com
化学品供销商(2013 年起)
International Laboratory Limited 美国 询价快递  
+1 (650) 278-9963
admin@intlab.org
化学品生产商(2002 年起)
LKT Laboratories, Inc. 美国 询价快递  
+1 (888) 558-5227
peacerli@mbolin-lktlabs.com
化学品生产商
RIA International LLC 美国 询价快递  
+1 (973) 581-1282/
marketing@riausa.net,nj@riausa.net
化学品供销商
厦门志信化学有限公司 中国 询价快递  
+86 13806087780
sale@simagchem.com
化学品生产商(2002 年起)
chemBlink 优势供应商(2020 年起)
基本信息
产品名称 螺旋霉素与 4,4'-亚甲基二(3-羟基-2-萘甲酸)化合物
英文名 Spiramycin compd with 4,4'-methylenebis(3-hydroxy-2-naphthalenecarboxylic acid)
别名 4-[(3-Carboxy-2-Hydroxy-1-Naphthyl)Methyl]-3-Hydroxy-Naphthalene-2-Carboxylic Acid; 2-[(4R,5S,6S,7R,9R,10R,11E,13E,16R)-6-[(2S,3R,4R,5S,6R)-5-[(2S,4R,5S,6S)-4,5-Dihydroxy-4,6-Dimethyl-Tetrahydropyran-2-Yl]Oxy-4-Dimethylamino-3-Hydroxy-6-Methyl-Tetrahydropyran-2-Yl]Oxy-10-[(2S,5S,6R)-5-Dimethylamino-6-Methyl-Tetrahydropyran-2-Yl]Oxy-4-Hydroxy-5-Methoxy-9,16-Dimethyl-2-Oxo-1-Oxacyclohexadeca-11,13-Dien-7-Yl]Acetaldehyde; 4-[(3-Carboxy-2-Hydroxy-1-Naphthyl)Methyl]-3-Hydroxy-2-Naphthalenecarboxylic Acid; 2-[(4R,5S,6S,7R,9R,10R,11E,13E,16R)-6-[[(2S,3R,4R,5S,6R)-5-[[(2S,4R,5S,6S)-4,5-Dihydroxy-4,6-Dimethyl-2-Tetrahydropyranyl]Oxy]-4-Dimethylamino-3-Hydroxy-6-Methyl-2-Tetrahydropyranyl]Oxy]-10-[[(2S,5S,6R)-5-Dimethylamino-6-Methyl-2-Tetrahydropyranyl]Oxy]-4-Hydroxy-5-Methoxy-9,16-Dimethyl-2-Oxo-1-Oxacyclohexadeca-11,13-Dien-7-Yl]Acetaldehyde; 4-[(3-Carboxy-2-Hydroxy-1-Naphthyl)Methyl]-3-Hydroxy-2-Naphthoic Acid; 2-[(4R,5S,6S,7R,9R,10R,11E,13E,16R)-6-[(2S,3R,4R,5S,6R)-5-[(2S,4R,5S,6S)-4,5-Dihydroxy-4,6-Dimethyl-Tetrahydropyran-2-Yl]Oxy-4-Dimethylamino-3-Hydroxy-6-Methyl-Tetrahydropyran-2-Yl]Oxy-10-[(2S,5S,6R)-5-Dimethylamino-6-Methyl-Tetrahydropyran-2-Yl]Oxy-4-Hydroxy-2-Keto-5-Methoxy-9,16-Dimethyl-1-Oxacyclohexadeca-11,13-Dien-7-Yl]Acetaldehyde
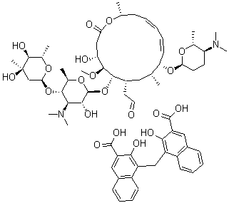
分子结构 CAS 登录号:67724-08-7, 螺旋霉素与 4,4'-亚甲基二(3-羟基-2-萘甲酸)化合物
分子式 C66H90N2O20
分子量 1231.44
CAS 登录号 67724-08-7
EINECS 登录号 266-981-4
分子行输入简码 SMILES [C@H]4(N(C)C)[C@H](O[C@@H]1O[C@H]([C@H](O)[C@](O)(C1)C)C)[C@H](O[C@@H](O[C@@H]3[C@@H](OC)[C@H](O)CC(O[C@@H](C/C=C/C=C/[C@H](O[C@H]2O[C@@H]([C@@H](N(C)C)CC2)C)[C@@H](C[C@@H]3CC=O)C)C)=O)[C@@H]4O)C.C5=C(C(=C(C6=C5C=CC=C6)CC7=C(O)C(=CC8=C7C=CC=C8)C(O)=O)O)C(O)=O
国际化学标识码 InChI 1S/C43H74N2O14.C23H16O6/c1-24-21-29(19-20-46)39(59-42-37(49)36(45(9)10)38(27(4)56-42)58-35-23-43(6,51)41(50)28(5)55-35)40(52-11)31(47)22-33(48)53-25(2)15-13-12-14-16-32(24)57-34-18-17-30(44(7)8)26(3)54-34;24-20-16(14-7-3-1-5-12(14)9-18(20)22(26)27)11-17-15-8-4-2-6-13(15)10-19(21(17)25)23(28)29/h12-14,16,20,24-32,34-42,47,49-51H,15,17-19,21-23H2,1-11H3;1-10,24-25H,11H2,(H,26,27)(H,28,29)/b13-12+,16-14+;/t24-,25-,26-,27-,28+,29+,30+,31-,32+,34-,35+,36-,37-,38-,39+,40+,41+,42+,43-;/m1./s1
国际化学标识检索码 InChIKey BJKLPSFSLQTCGC-ZFURAGCBSA-N
市场分析报告
请浏览螺旋霉素与 4,4'-亚甲基二(3-羟基-2-萘甲酸)化合物市场分析报告总目录
相关产品
二氯膦酸甲酯  乙烯磺酰氟  吡啶并[3',2':4,5]咪唑并[1,2-a]吡...  6-甲基-吡啶并[3',2':4,5]咪唑并[1,...  2-羟基-丁二酸 1,4-二(16-甲基十七烷基)...  5-丁基-5-乙基四氢-2H-吡喃-2-酮  5-羟基-3-甲基-(1R,5S,6R)-7-氧杂...  N-乙酰基-3-(亚硝基硫代)-缬氨酸  1,1-二[(3,7-二甲基-2,6-辛二烯-1-...  2-甲基-1H-吲哚-5-磺酸  全氟异十一烷基碘化物  N-[3-(二甲基氨基)丙基]-异十八烷酰胺  4,4,8-三甲基-5,7-癸二烯-2-酮  3,6-二甲基-3-环己烯-1-甲醛  N-亚硝基-N-丙基-乙酰胺