Online Database of Chemicals from Around the World

多黏菌素 M
[CAS# 6683-17-6]

供应商
CAS#: 6683-17-6
产品: 多黏菌素 M
暂时没有厂家供应该产品。
基本信息
产品名称 多黏菌素 M
英文名 Polymyxin M
别名 N-[(1S)-3-Amino-1-[[(1S,2R)-1-[[(1S)-3-Amino-1-[[(3S,6S,9S,12S,15R,18S,21S)-6,9,18-Tris(2-Aminoethyl)-3,12-Bis(1-Hydroxyethyl)-15-Isobutyl-2,5,8,11,14,17,20-Heptaoxo-1,4,7,10,13,16,19-Heptazacyclotricos-21-Yl]Carbamoyl]Propyl]Carbamoyl]-2-Hydroxy-Propyl]Carbamoyl]Propyl]-6-Methyl-Octanamide; N-[(1S)-3-Amino-1-[[[(1S,2R)-1-[[[(1S)-3-Amino-1-[Oxo-[[(3S,6S,9S,12S,15R,18S,21S)-6,9,18-Tris(2-Aminoethyl)-3,12-Bis(1-Hydroxyethyl)-15-Isobutyl-2,5,8,11,14,17,20-Heptaoxo-1,4,7,10,13,16,19-Heptazacyclotricos-21-Yl]Amino]Methyl]Propyl]Amino]-Oxomethyl]-2-Hydroxypropyl]Amino]-Oxomethyl]Propyl]-6-Methyloctanamide; N-[(1S)-3-Amino-1-[[(1S,2R)-1-[[(1S)-3-Amino-1-[[(3S,6S,9S,12S,15R,18S,21S)-6,9,18-Tris(2-Aminoethyl)-3,12-Bis(1-Hydroxyethyl)-15-Isobutyl-2,5,8,11,14,17,20-Heptaketo-1,4,7,10,13,16,19-Heptazacyclotricos-21-Yl]Carbamoyl]Propyl]Carbamoyl]-2-Hydroxy-Propyl]Carbamoyl]Propyl]-6-Methyl-Caprylamide
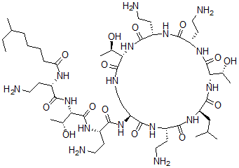
分子结构 CAS 登录号:6683-17-6, 多黏菌素 M
分子式 C51H96N16O14
分子量 1157.42
CAS 登录号 6683-17-6
分子行输入简码 SMILES [C@H]1(NC(=O)[C@H](NC(=O)[C@@H](NC(=O)[C@@H](NC(=O)[C@@H](NC(=O)[C@@H](NC(=O)[C@@H](NC(=O)CCCCC(CC)C)CCN)[C@H](O)C)CCN)CCNC(=O)[C@@H](NC(=O)[C@@H](NC(=O)[C@@H](NC1=O)CCN)CCN)[C@H](O)C)CCN)CC(C)C)[C@H](O)C
国际化学标识码 InChI 1S/C51H96N16O14/c1-8-27(4)11-9-10-12-38(71)58-31(13-19-52)46(76)66-40(29(6)69)50(80)63-34(16-22-55)43(73)61-36-18-24-57-49(79)39(28(5)68)65-47(77)35(17-23-56)60-42(72)33(15-21-54)62-51(81)41(30(7)70)67-48(78)37(25-26(2)3)64-44(74)32(14-20-53)59-45(36)75/h26-37,39-41,68-70H,8-25,52-56H2,1-7H3,(H,57,79)(H,58,71)(H,59,75)(H,60,72)(H,61,73)(H,62,81)(H,63,80)(H,64,74)(H,65,77)(H,66,76)(H,67,78)/t27?,28-,29-,30-,31+,32+,33+,34+,35+,36+,37-,39+,40+,41+/m1/s1
国际化学标识检索码 InChIKey XRBFWBMDMQIAQF-ZHFMXAAZSA-N
物理化学性质
密度 1.289g/cm3 (计算值)
沸点 1569.162°C at 760 mmHg (计算值)
闪点 902.796°C (计算值)
市场分析报告
请浏览多黏菌素 M市场分析报告总目录
相关产品
(3S,13R)-1,2,3,4,4aalpha,...  氰帕明  3-甲基-4-苯基-1-丁烯  (2S,4aalpha,6abeta,10aalp...  缬氨酰-丙氨酰-脯氨酰-甘氨酸乙酸盐  11-甲氧基-1,3-二氧杂环戊并[4,5-b]吖...  2-甲基肉豆蔻酸  3-(1-吡咯烷基甲基)联苯-4-醇  3-吡咯烷基-N-甲基-4-甲氧基联苯  3-(1-哌啶基甲基)联苯-4-醇  3-[(二乙基氨基)甲基]联苯-4-醇  3-吡咯烷基-N-甲基-4-乙氧基联苯  7,7-二甲氧基庚-3-炔  N,N-二甲基-N'-(4-甲基苯基)氨基磺酰胺  alpha-氰基-3-苯氧基苄基 [1R-[1al...