Online Database of Chemicals from Around the World

{2-乙氧基-2-[(三甲基硅烷基)氧基]乙烯基}(三甲基)硅烷
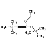
[CAS# 65946-56-7]

供应商
International Laboratory Limited 美国 询价快递  
+1 (650) 278-9963
admin@intlab.org
化学品生产商(2002 年起)
基本信息
产品名称 {2-乙氧基-2-[(三甲基硅烷基)氧基]乙烯基}(三甲基)硅烷
英文名 {2-Ethoxy-2-[(trimethylsilyl)oxy]vinyl}(trimethyl)silane
分子结构 CAS 登录号:65946-56-7, {2-乙氧基-2-[(三甲基硅烷基)氧基]乙烯基}(三甲基)硅烷
分子式 C10H24O2Si2
分子量 232.47
CAS 登录号 65946-56-7
分子行输入简码 SMILES CCOC(=C[Si](C)(C)C)O[Si](C)(C)C
国际化学标识码 InChI 1S/C10H24O2Si2/c1-8-11-10(9-13(2,3)4)12-14(5,6)7/h9H,8H2,1-7H3
国际化学标识检索码 InChIKey ODJZWNZEYBPGIQ-UHFFFAOYSA-N
物理化学性质
密度 0.857g/cm3 (计算值)
沸点 194.679°C at 760 mmHg (计算值)
闪点 61.373°C (计算值)
安全数据
SDS 化学品安全技术说明书参考文本
市场分析报告
请浏览{2-乙氧基-2-[(三甲基硅烷基)氧基]乙烯基}(三甲基)硅烷市场分析报告总目录
相关产品
2,2,6,6-四甲基-4-[(三甲基硅烷基)亚甲...  N-(6-烯丙氧基-8-羟基-2-苯基-4,4a,...  4,6-二甲氧基-1,3-苯并噻唑-2-胺  6-丁基-1,3-苯并噻唑-2-胺  2-氨基-6-氯-1,3-苯并噻唑-4-甲腈  2-[(E)-氟偶氮]吡啶  1,2-二甲基-1H-苯并咪唑-6-羧酸  N,1-二甲基-1H-苯并咪唑-2-胺  N,N,1-三甲基-1H-苯并咪唑-2-胺  1,2-二甲基-1H-苯并咪唑-6-甲腈  1-甲氧基-2-甲基-1H-苯并咪唑  N,N-二(9-硼杂双环[3.3.1]壬-9-基)...  2-异丙氧基-1-甲基-1H-苯并咪唑  2-({[(3beta)-胆甾-5-烯-3-基氧基...  5-(氯甲基)-3-(3-硝基苯基)-1,2,4-...