Online Database of Chemicals from Around the World

丁香毒素 B
[CAS# 65547-14-0]

供应商
CAS#: 65547-14-0
产品: 丁香毒素 B
暂时没有厂家供应该产品。
基本信息
产品名称 丁香毒素 B
英文名 Syringotoxin B
别名 2-[(9Z)-24-(2-Aminoethyl)-15-(3-Aminopropyl)-3-(2-Chloro-1-Hydroxy-Ethyl)-9-Ethylidene-12-(1-Hydroxyethyl)-18-(2-Hydroxyethyl)-27-(3-Hydroxytetradecanoylamino)-2,5,8,11,14,17,20,23,26-Nonaoxo-1-Oxa-4,7,10,13,16,19,22,25-Octazacyclooctacos-6-Yl]-2-Hydroxy-Acetic Acid; 2-[(9Z)-24-(2-Aminoethyl)-15-(3-Aminopropyl)-3-(2-Chloro-1-Hydroxyethyl)-9-Ethylidene-12-(1-Hydroxyethyl)-18-(2-Hydroxyethyl)-27-[(3-Hydroxy-1-Oxotetradecyl)Amino]-2,5,8,11,14,17,20,23,26-Nonaoxo-1-Oxa-4,7,10,13,16,19,22,25-Octazacyclooctacos-6-Yl]-2-Hydroxyacetic Acid; 2-[(9Z)-24-(2-Aminoethyl)-15-(3-Aminopropyl)-3-(2-Chloro-1-Hydroxy-Ethyl)-9-Ethylidene-12-(1-Hydroxyethyl)-18-(2-Hydroxyethyl)-27-(3-Hydroxytetradecanoylamino)-2,5,8,11,14,17,20,23,26-Nonaketo-1-Oxa-4,7,10,13,16,19,22,25-Octazacyclooctacos-6-Yl]-2-Hydroxy-Acetic Acid
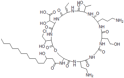
分子结构 CAS 登录号:65547-14-0, 丁香毒素 B
分子式 C48H82ClN11O18
分子量 1136.69
CAS 登录号 65547-14-0
分子行输入简码 SMILES C(C(C1NC(C(C(O)C(=O)O)NC(\C(NC(C(C(O)C)NC(C(NC(C(NC(CNC(C(NC(C(COC1=O)NC(=O)CC(O)CCCCCCCCCCC)=O)CCN)=O)=O)CCO)=O)CCCN)=O)=O)=C\C)=O)=O)O)Cl
国际化学标识码 InChI 1S/C48H82ClN11O18/c1-4-6-7-8-9-10-11-12-13-15-27(63)22-34(65)54-32-25-78-48(77)37(33(64)23-49)59-46(74)38(39(67)47(75)76)60-41(69)28(5-2)55-45(73)36(26(3)62)58-43(71)29(16-14-19-50)56-42(70)31(18-21-61)53-35(66)24-52-40(68)30(17-20-51)57-44(32)72/h5,26-27,29-33,36-39,61-64,67H,4,6-25,50-51H2,1-3H3,(H,52,68)(H,53,66)(H,54,65)(H,55,73)(H,56,70)(H,57,72)(H,58,71)(H,59,74)(H,60,69)(H,75,76)/b28-5-
国际化学标识检索码 InChIKey GFIQMTUSPKSFSY-XNUQMYNASA-N
物理化学性质
密度 1.378g/cm3 (计算值)
沸点 1596.319°C at 760 mmHg (计算值)
闪点 919.22°C (计算值)
市场分析报告
请浏览丁香毒素 B市场分析报告总目录
相关产品
2-氰基-2-(2-硝基苯基)乙酸乙酯  3',4',7,8-四甲氧基黄酮  3-(3-二乙基氨基丙基)-2-甲基吲哚嗪  2-(3,4-二羟基苯基)-3-(alpha-D-...  反式-4-羟基二苯乙烯  腺嘌呤单钾盐  4-甲氧基-beta-甲基-氢化肉桂酸甲酯  3-乙酰氧基三环[2.2.1.02,6]庚烷  19-去甲雄酮  2,2,7,7-四甲基六氢苯并[1,2-d:3,4...  4-[(甲基亚硝基氨基)乙酰基]-3-亚硝基-1,...  1-(3,4-二羟基苯基)乙二醛二肟  (1R,3R,4S,5R)-3-[(4S)-2,2...  5-(2,6-二氯-亚苄基)-2-硫代-噻唑烷-4...  (5E)-5-(萘-1-基亚甲基)-2-硫基-1,...