Identification
| Name |
2,3-Dihydroxy- (2R,3R)-Butanedioic Acid Antimony Potassium Salt (2:1:1) |
| Synonyms |
Tris[[(2R,3R)-2,3-Dihydroxy-3-(Potassiooxycarbonyl)Propionyl]Oxy]Antimony; Tris[(2R,3R)-2,3-Dihydroxysuccinic Acid 4-Potassium]Antimony Salt; Potassium Antimony 2,3-Hydroxy-2,3-Butandioate (1:1:1) EINCIS |
|
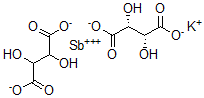
| Molecular Structure |
 |
| Molecular Formula |
C4H4KO6Sb++ |
| Molecular Weight |
308.93 |
| CAS Registry Number |
6535-15-5 |
| EINECS |
229-436-1 |
| SMILES |
O[C@H]([C@H](C(=O)[O-])O)C(=O)[O-].[K+].[Sb+3] |
| InChI |
1S/C4H6O6.K.Sb/c5-1(3(7)8)2(6)4(9)10;;/h1-2,5-6H,(H,7,8)(H,9,10);;/q;+1;+3/p-2/t1-,2-;;/m1../s1 |
|