Online Database of Chemicals from Around the World

Maltononaose
[CAS# 6471-60-9]

供应商
International Laboratory Limited 美国 询价快递  
+1 (650) 278-9963
admin@intlab.org
化学品生产商(2002 年起)
基本信息
产品名称 Maltononaose
英文名 Maltononaose
别名 (2R,3S,4R,5R)-2-[(2R,3R,4S,5R,6R)-6-(Hydroxymethyl)-3,4,5-Tris[[(2R,3R,4S,5S,6R)-3,4,5-Trihydroxy-6-(Hydroxymethyl)Tetrahydropyran-2-Yl]Oxy]Tetrahydropyran-2-Yl]Oxy-3,4,5,6-Tetrakis[[(2R,3R,4S,5S,6R)-3,4,5-Trihydroxy-6-(Hydroxymethyl)Tetrahydropyran-2-Yl]Oxy]Hexanal; (2R,3S,4R,5R)-2-[[(2R,3R,4S,5R,6R)-6-(Hydroxymethyl)-3,4,5-Tris[[(2R,3R,4S,5S,6R)-3,4,5-Trihydroxy-6-(Hydroxymethyl)-2-Tetrahydropyranyl]Oxy]-2-Tetrahydropyranyl]Oxy]-3,4,5,6-Tetrakis[[(2R,3R,4S,5S,6R)-3,4,5-Trihydroxy-6-(Hydroxymethyl)-2-Tetrahydropyranyl]Oxy]Hexanal; (2R,3S,4R,5R)-2-[(2R,3R,4S,5R,6R)-6-Methylol-3,4,5-Tris[[(2R,3R,4S,5S,6R)-3,4,5-Trihydroxy-6-Methylol-Tetrahydropyran-2-Yl]Oxy]Tetrahydropyran-2-Yl]Oxy-3,4,5,6-Tetrakis[[(2R,3R,4S,5S,6R)-3,4,5-Trihydroxy-6-Methylol-Tetrahydropyran-2-Yl]Oxy]Hexanal
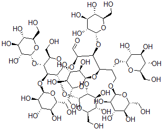
分子结构 CAS 登录号:6471-60-9, Maltononaose
分子式 C54H92O46
分子量 1477.29
CAS 登录号 6471-60-9
分子行输入简码 SMILES [C@@H](C=O)(O[C@@H]4[C@H](O[C@@H]1[C@H](O)[C@@H](O)[C@H](O)[C@H](O1)CO)[C@@H](O[C@@H]2[C@H](O)[C@@H](O)[C@H](O)[C@H](O2)CO)[C@H](O[C@@H]3[C@H](O)[C@@H](O)[C@H](O)[C@H](O3)CO)[C@H](O4)CO)[C@@H](O[C@@H]5[C@H](O)[C@@H](O)[C@H](O)[C@H](O5)CO)[C@H](O[C@@H]6[C@H](O)[C@@H](O)[C@H](O)[C@H](O6)CO)[C@H](O[C@@H]7[C@H](O)[C@@H](O)[C@H](O)[C@H](O7)CO)CO[C@@H]8[C@H](O)[C@@H](O)[C@H](O)[C@H](O8)CO
国际化学标识码 InChI 1S/C54H92O46/c55-1-11-21(64)28(71)35(78)47(86-11)85-10-20(95-48-36(79)29(72)22(65)12(2-56)87-48)44(98-51-39(82)32(75)25(68)15(5-59)90-51)42(96-49-37(80)30(73)23(66)13(3-57)88-49)18(8-62)93-54-46(100-53-41(84)34(77)27(70)17(7-61)92-53)45(99-52-40(83)33(76)26(69)16(6-60)91-52)43(19(9-63)94-54)97-50-38(81)31(74)24(67)14(4-58)89-50/h8,11-61,63-84H,1-7,9-10H2/t11-,12-,13-,14-,15-,16-,17-,18+,19-,20-,21-,22-,23-,24-,25-,26-,27-,28+,29+,30+,31+,32+,33+,34+,35-,36-,37-,38-,39-,40-,41-,42-,43-,44-,45+,46-,47+,48-,49-,50-,51-,52-,53-,54+/m1/s1
国际化学标识检索码 InChIKey KNBVLVBOKWRYEP-XYLDXDTCSA-N
物理化学性质
密度 1.88g/cm3 (计算值)
沸点 1689.333°C at 760 mmHg (计算值)
闪点 451.178°C (计算值)
市场分析报告
请浏览Maltononaose市场分析报告总目录
相关产品
壬-1-酸苄酯  2-磺酸基乙基十一碳-10-烯酸钠  甲状旁腺激素 (24-48)  7-氨基-5-苯基-2,3-二(苯基氨基)吩嗪鎓氯...  1,3-苯并二氧戊环-5-基甲基特戊酸酯  五氢氧化二碳酸铝镁  5-甲基-2-[2-[[5-苯基-3-(3-磺酸基...  Corymine  1-乙酰氧基-2-乙酰氨基芴  顺式-双环[4.2.1]壬-2,4-二烯-9-醇  3-甲氧基对氨基苯磺酸  异杆孢菌素 E  16,17-二乙氧基紫蒽-5,10-二酮  9-顺式-番茄红素  1,4-二(2-吡啶基)哌嗪