Online Database of Chemicals from Around the World

1-[2-[[2-[[2-[[2-[2,5-二氧代-3-(四十四烷基)-1-吡咯烷基]乙基]氨基]乙基]氨基]乙基]氨基]乙基]-3-(三十八碳烯基)吡咯烷-2,5-二酮
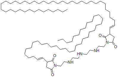
[CAS# 64347-03-1]

供应商
CAS#: 64347-03-1
产品: 1-[2-[[2-[[2-[[2-[2,5-二氧代-3-(四十四烷基)-1-吡咯烷基]乙基]氨基]乙基]氨基]乙基]氨基]乙基]-3-(三十八碳烯基)吡咯烷-2,5-二酮
暂时没有厂家供应该产品。
基本信息
产品名称 1-[2-[[2-[[2-[[2-[2,5-二氧代-3-(四十四烷基)-1-吡咯烷基]乙基]氨基]乙基]氨基]乙基]氨基]乙基]-3-(三十八碳烯基)吡咯烷-2,5-二酮
英文名 1-[2-[[2-[[2-[[2-[2,5-Dioxo-3-(Tetratetracontenyl)-1-Pyrrolidinyl]Ethyl]Amino]Ethyl]Amino]Ethyl]Amino]Ethyl]-3-(Octatriacontenyl)Pyrrolidine-2,5-Dione
别名 1-[2-[2-[2-[2-[3-[(E)-Octatriacont-1-Enyl]-2,5-Dioxo-Pyrrolidin-1-Yl]Ethylamino]Ethylamino]Ethylamino]Ethyl]-3-[(E)-Tetratetracont-1-Enyl]Pyrrolidine-2,5-Dione; 1-[2-[2-[2-[2-[3-[(E)-Octatriacont-1-Enyl]-2,5-Dioxo-1-Pyrrolidinyl]Ethylamino]Ethylamino]Ethylamino]Ethyl]-3-[(E)-Tetratetracont-1-Enyl]Pyrrolidine-2,5-Dione; 1-[2-[2-[2-[2-[2,5-Diketo-3-[(E)-Octatriacont-1-Enyl]Pyrrolidin-1-Yl]Ethylamino]Ethylamino]Ethylamino]Ethyl]-3-[(E)-Tetratetracont-1-Enyl]Pyrrolidine-2,5-Quinone
分子结构 CAS 登录号:64347-03-1, 1-[2-[[2-[[2-[[2-[2,5-二氧代-3-(四十四烷基)-1-吡咯烷基]乙基]氨基]乙基]氨基]乙基]氨基]乙基]-3-(三十八碳烯基)吡咯烷-2,5-二酮
分子式 C98H187N5O4
分子量 1499.59
CAS 登录号 64347-03-1
EINECS 登录号 264-822-3
分子行输入简码 SMILES C(/C=C/C1C(N(C(C1)=O)CCNCCNCCNCCN2C(C(CC2=O)\C=C\CCCCCCCCCCCCCCCCCCCCCCCCCCCCCCCCCCCCCCCCCC)=O)=O)CCCCCCCCCCCCCCCCCCCCCCCCCCCCCCCCCCC
国际化学标识码 InChI 1S/C98H187N5O4/c1-3-5-7-9-11-13-15-17-19-21-23-25-27-29-31-33-35-37-39-41-42-43-44-45-46-48-50-52-54-56-58-60-62-64-66-68-70-72-74-76-78-80-82-94-92-96(105)103(98(94)107)90-88-101-86-84-99-83-85-100-87-89-102-95(104)91-93(97(102)106)81-79-77-75-73-71-69-67-65-63-61-59-57-55-53-51-49-47-40-38-36-34-32-30-28-26-24-22-20-18-16-14-12-10-8-6-4-2/h79-82,93-94,99-101H,3-78,83-92H2,1-2H3/b81-79+,82-80+
国际化学标识检索码 InChIKey MDMIGSHIEPEKDI-VISJHVAYSA-N
市场分析报告
请浏览1-[2-[[2-[[2-[[2-[2,5-二氧代-3-(四十四烷基)-1-吡咯烷基]乙基]氨基]乙基]氨基]乙基]氨基]乙基]-3-(三十八碳烯基)吡咯烷-2,5-二酮市场分析报告总目录
相关产品
1-[2-[[2-[[2-[[2-[2,5-二氧代...  1,1'-[亚氨基二(乙烯亚氨基乙烯)]二[3-(...  3-(二十四碳烯基)琥珀酸酐  3-(三十八碳烯基)琥珀酸酐  3-(四十碳烯基)琥珀酸酐  2-氯-5-[[5-羟基-4-[(2-羟基-1-萘...  2,3,4,4a,5,6,7,8-八氢-2,5,5...  5-乙酰基-4-羟基-3-[1-[(4-羟基-3-...  5-乙酰基-3-[1-[(3-氨基-4-羟基苯基)...  2-乙酰基壬-2-烯酸乙酯  3-(异癸基氧基)丙腈  2-溴-4-N-丁基苯乙酮  13,20-环氧-1beta,11beta,12a...  Mycorrhizin A  4,7-二羟基-3-(3,7,11-三甲基-2,6...