Online Database of Chemicals from Around the World

贝壳杉烷-3,16,17-三醇-3-O-beta-吡喃葡萄糖基-17-O-beta-吡喃葡萄糖苷
[CAS# 64280-16-6]

供应商
CAS#: 64280-16-6
产品: 贝壳杉烷-3,16,17-三醇-3-O-beta-吡喃葡萄糖基-17-O-beta-吡喃葡萄糖苷
暂时没有厂家供应该产品。
基本信息
产品名称 贝壳杉烷-3,16,17-三醇-3-O-beta-吡喃葡萄糖基-17-O-beta-吡喃葡萄糖苷
英文名 Kaurane-3,16,17-Triol-3-O-beta-Glucopyranosyl-17-O-beta-Glucopyranoside
别名 Kaurane-Glup-Glup; Beta-D-Glucopyranoside, (3Alpha)-16-Hydroxykaurane-3,17-Diyl Bis-
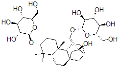
分子结构 CAS 登录号:64280-16-6, 贝壳杉烷-3,16,17-三醇-3-O-beta-吡喃葡萄糖基-17-O-beta-吡喃葡萄糖苷
分子式 C32H54O13
分子量 646.77
CAS 登录号 64280-16-6
分子行输入简码 SMILES [C@@]23([C@@H](C(C)(C)[C@H](O[C@H]1[C@@H]([C@@H](O)[C@@H]([C@H](O1)CO)O)O)CC2)CC[C@@]46[C@H]3CC[C@@H]([C@](C4)(CO[C@@H]5[C@H]([C@H](O)[C@H]([C@@H](O5)CO)O)O)O)C6)C
国际化学标识码 InChI 1S/C32H54O13/c1-29(2)18-6-9-31-10-15(32(41,13-31)14-42-27-25(39)23(37)21(35)16(11-33)43-27)4-5-19(31)30(18,3)8-7-20(29)45-28-26(40)24(38)22(36)17(12-34)44-28/h15-28,33-41H,4-14H2,1-3H3/t15-,16+,17-,18-,19+,20-,21+,22-,23-,24+,25+,26-,27+,28+,30-,31+,32+/m1/s1
国际化学标识检索码 InChIKey SEICMRDJFDBLKU-HFUYXQKZSA-N
物理化学性质
密度 1.444g/cm3 (计算值)
沸点 828.08°C at 760 mmHg (计算值)
闪点 454.606°C (计算值)
市场分析报告
请浏览贝壳杉烷-3,16,17-三醇-3-O-beta-吡喃葡萄糖基-17-O-beta-吡喃葡萄糖苷市场分析报告总目录
相关产品
4-(2-氨基乙基氨基)-吡啶盐酸盐  5-(乙酰氨基)-3-[[4-[[3,5-二甲基-...  4-[(R)-2-[(1R,3S,5S)-3,5-...  5-[[6-[(3-氨基苯甲酰)氨基]-1-羟基-...  直接绿 50 三钠盐  2,4-二[[2,4-二氨基-5-[(3-磺酸基苯...  1'-磺酸氧基黄樟素  6-氨基-9-beta-D-吡喃葡萄糖基-1,9-...  (Z)-2-羟基-3-[(2-羟基乙基)[2-[(...  2-丙烯酸 2-乙基己基酯与二苯乙烯和乙烯基甲基苯...  2-甲基-2-丙烯酸异癸基酯与乙烯基甲基苯和 2-...  6-[[2-氨基-4-[(2-羟基乙基)氨基]苯基...  2,2-二甲基-3-羟基-3-(4-甲氧基苯基)丙...  (3R,5S,10S,13S,17S)-4,4,1...  2-[4-(3-乙基-4-氧代-2-硫酮噻唑烷-5...